所屬科目:國中◆數學
3. 某次數學測驗共 25 題,答對一題可以得 4 分,答錯一題不僅無法得分,還倒扣 1 分, 沒有作答的題目則不得分、不扣分;若小慶有 3 題沒有作答,共得到 73 分,則小慶共 答對幾題? (A) 15 (B) 19 (C) 21 (D) 22。
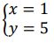
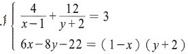
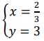
5.請問聯立方程組的解為何?(A)(B)(C)(D)
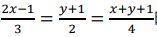
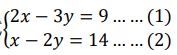
7.解聯立方程式 ,得其解為何? (A) x = 2,y=-3 (B) x =-1,y=-4 (C) x=-2.y = 1 (D) x=-3,y=4。
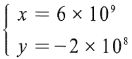
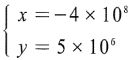
10.解 則 x-y=? (A) 1 (B) 3 (C) 5 (D) 7 。
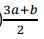
12. 文英第二次學力測驗模擬考時,國、社、數三科的平均成績是 a 分,自然與英文科 的平均成績是 b 分,試問此次考題文英五科的總平均為多少分? (A) (B) (C) (D) 分
13. 化簡 ,可得下列哪一個結果? (A) (B) (C) - 5x - 5y-7 (D) - 5x - 5y -1
14.下列哪一組 xy 所代表的數不是 3x-y+2 =0 的解? (A) (B) (C) (D)
16. 小芬解聯立方程式 ,結果不小心將(2)式中的 14 看錯,解得 x=6; 請問小芬將 14 誤看成多少呢? (A)2 (B)4 (C) 9 (D) 18
18.方程式 的解為下列哪一個? (A)(1,2) (B) (2,1) (C) (-1,-2) (D)(-2,-1)
19.設 x=1, y = 1 與 x = 4,y = 3 均為 mx + ny = - 1 的一組解,則下列何者不是 mx +ny = -1 的一組解? 1 5 7 (A) x = 0٫y = (B) x = 2 ,y= (C) x = 3 ,y= (D) x = -2 , y = 1
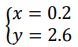
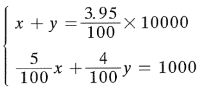
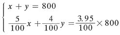
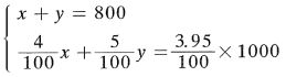
20. 若全國勞動人口數為 800 萬人,其中男性勞動人口數為 x 萬人,女性勞動人口數為 y 萬人,又男性失業率為 5%,女性失業率為 4%,男女合計失業率為 3.95%,則依題意可列式為下列何者?(A)(B)(C)(D)
22. 下圖的四邊形為平行四邊形,且此平行四邊形的四個邊恰可 以 x、y 的數量關係表示,請問 x+y=? (A)5 (B)4 (C) 3 (D)2
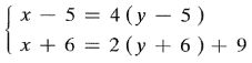
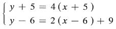
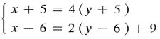
24. 小丸子現年 x 歲,她的爸爸現年 y 歲,若五年前爸爸的年齒令是小丸子的 4 倍;若六年後 ,爸爸的年龄是小丸子的 2 倍多 9 歲,則下列哪一個二元一次聯立方程式符合題意?(A)(B)(C)(D)