所屬科目:國中◆數學
3. 在空格中填入數字 1 到 4,使每個直行、橫列及粗線區域的數字都不能重複。試 1 b 依照上述規則找出右側表格中 a、b、c、d 所代表的數字,試求 a+b+c-d 的值
4. 如右圖所示,E 點為長方形 ABCD 的 上一點,若=12、 =9, 且∠CED=90°,則長方形 ABCD 的面積=______ 。
5. 如右圖所示,∠A=∠B=∠C=∠D=∠E=∠F=120°,且=2、 =5、 =3,求 的值=_____。
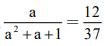
6. 若不為零的實數 a 滿足 ,試計算 的值=__________。
7. 如右圖所示,,D 點在上,F 點在 的延長線上, 於 E 點, 且,若 =1,求比值 =________ 。
9. 已知五邊形 OABCD 的五個頂點為 O( 0 , 0 )、A( 1 , 0 )、B( b , 2 ) 、C( c , 4 )、D( d , 3 ),且 d<0<c<1<b。 若 E、F 分別是的中點,G 是的中點,求 ΔOAG 的面積為 ______。
10.如右圖,∠BAC=60°,=12,若 P 點在上, 於 D 點, 且 ,求=______。
12.如右圖所示,A、B、C、D、E、F 六點等分圓周,若這個圓的半徑是 6,求斜線部分的面積=_______ 。
16.將一個正整數 n 平方後,它會在尾巴重新出現(但 0、1 不算),則稱 n 為「自守數」。一位「自守數」只有 5、6; 二位「自守數」只有 25、76,試求:最小的三位「自守數」為_______ 。【說明:】
18.如右圖,圓的半徑是 2,∠C=30°、若 A、C 在圓上,切圓於 A 點, 且通過圓心,求△ABC 的面積= __________。
2. 【已知】如右圖, 、∠BAC=∠EDF>90°。【試證】△ABC ≅ △DEF。