阿摩線上測驗
登入
首頁
>
教甄◆數學專業
> 無年度 - 103數學普通數學模擬考_含解答#19095
無年度 - 103數學普通數學模擬考_含解答#19095
科目:
教甄◆數學專業 |
選擇題數:
20 |
申論題數:
0
試卷資訊
所屬科目:
教甄◆數學專業
選擇題 (20)
1.為了統計班上寶特瓶回收狀況,班長以 30個為基準,登記每天的數量。一週來,回收記 錄如下表所示,請問這一週平均每天回收幾個保特瓶?
(A) 28個 (B) 29個 (C) 30個 (D) 31個
2.不在同一直線上的固定三點 、 、 ,可找到第四點 ,使得以這四個點為頂點的四邊 形邊形是平行四邊形。試問 點可能的位置有幾個? (A) 一個 (B) 二個 (C) 三個 (D) 四個
3.請問
,總共有幾個數大於4 ,且小於 6? (A) 17 (B) 18 (C) 19 (D) 20
4.在坐標平面上,函數 的圖形經過 (-1,4)(0,3)(1,0)(2,1)(3,2)(4,7)六個點,求 f(-1)+f(1)+f(2)+f(4)的值為何? (A) 4 (B) 6 (C) 8 (D) 12
5.有兩個正整數 ,滿足a+b=126 ,且 a是 b的6倍;問a 的值可以下列哪一個算式 求出? (A)126/6 (B)126/(6+1) (C) 126/6 x (6+1)(D)126/(6+1)x6
6.估算
的值,它最接近下列哪一個整數? (A)-3999 (B)-4000 (C)-4001 (D)-4002
7.有一方程式x
2
+18x-9919=0 ,下列何者是它的一個解? (A) -109(B)-91 (C)101 (D)109
8.如圖,
。若
長為整數,則
長可能為何?
(A) 1 (B) 4 (C) 7 (D) 10
9.判斷算式
的值,與下列何者相等?
10.已知甲 =x-1、乙 =4x、丙 x/2、丁 2x+1,如果x是正整數,問下列哪一個數最大?(A)甲(B)乙(C)丙(D)丁
11.已知 a為 x
2
-5x-3=0的一個正根,求
的值為何?
12.小明到文具店用400元共買了單價30元及40元的筆記本各數本(不能為0本),問有多少 種可能的購買方式? (A) 6 (B) 5 (C) 4 (D) 3
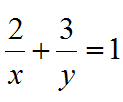
13.若二元一次聯立方程式
的解為 x=a,y=b,則a-b 之值為何?
14.此圖為櫻桃小丸子調查班上同學 人的家庭人數後所製成的盒狀圖。若下列有一選項為 此調查結果的長條圖,則此圖可能為何?
15.下列四個敘述,哪一個是正確的? (A) 3x表示3+x (B) x
2
表示 x+x(C) 3x
2
表示3x.3x (D)3x+5 表示x+x+x+5
16.此圖是由四個半徑為 1的 1/4圓與六個邊長為 的正方形所組成。判斷下列各選項所敘述的 圖形,哪一個的面積與圖中斜線區域面積相等?
(A) 以BD 為直徑之圓 (B) 以BC 為直徑之圓 (C) 以 AB為直徑之半圓 (D) 以 AC為直徑之半圓
17.設 為正整數,且
亦為正整數,則 可能得值有幾個? (A) 10 (B) 8 (C) 6 (D) 4
18.在算式
中,符號
分別代表不同的正整數,求
(A) 13 (B) 14 (C) 15 (D) 16
19.有一個三位數正整數,其數字均不為0,若其百位數、十位數、個位數的三個數字乘積 為72,三個數字和為14。求符合上述條件的三位數之中,最大的與最小的相加為何? (A) 964 (B) 1050 (C) 1099 (D) 1171
20.滿足方程式
的 (x,y)正整數解共有幾組? (A) 4 (B) 5 (C) 6 (D) 7
申論題 (0)
相關試卷
115年 - 115 國立高科實驗高級中等學校_專任教師甄選_國中部︰數學領域數學專長#138920
115年 · #138920
114年 - 114-1 臺北市立松山高級商業家事職業學校_教師甄選題目:數學#138394
114年 · #138394
114年 - 114 新北市立國民中學_教師聯合甄選試題: 數學科#127346
114年 · #127346
114年 - 114 國立臺灣藝術大學_綜合學科測驗﹕數學#126930
114年 · #126930
114年 - 114 國立彰化高級中學_教師甄選初試試題:數學科#126821
114年 · #126821
114年 - 114 臺北市立陽明高級中學_正式教師甄選試題:高中數學科#126749
114年 · #126749
114年 - 114 國立師大附中_教師甄選︰數學#126229
114年 · #126229
113年 - 113 金門縣國民中學正式教師聯合甄選初試試題:數學#120861
113年 · #120861
113年 - 113 新北市公立高級中等學校教師聯合甄選試題:數學#120730
113年 · #120730
113年 - 113 桃園市國民中學新進教師甄選試題:數學科#120523
113年 · #120523