所屬科目:教甄◆物理科專業
1. 如右圖(一),一物體自傾角 θ=37∘的固定斜面頂端 沿水平方向拋出後落在斜面上,且物體與斜面接觸時, 其速度與水平方向的夾角為 φ。則 tanφ 之值應為 __【1】__。
4. 甲、乙兩平面鏡互相平行,且兩鏡面的垂直距離為 d。若雷射光以 45∘的 入射角射向甲鏡,再經由乙鏡反射後,恰通過牆壁上之小洞 A,如圖(二) 所示。若將甲鏡逆時針轉動 4∘,以到達乙鏡之入射光點為轉軸,如圖(三) 示意,此時需將乙鏡逆時針調整 θ 度,才能讓雷射光再度通過 A 洞,則 θ 值約為__【4】__。(已知 tan 37∘ = 、tan 30∘ = 、 tan 26.6∘ = 、tan 56.3∘ = )
5. 將一絕熱金屬在一大氣壓下通以電流加熱,此金屬所獲得電能的功率為一 常數 K。已知此金屬的絕對溫度隨時間變化的關係為:,其中的α、t0與 T0均為常數。試求此金屬的熱容 量 Cp(T)=__【5】__。(即在實驗溫度範圍內,熱容量隨溫度變化的關係式)
7. 電路圖如下,電源與導線皆不計內電阻,則電路圖中的等效電阻應為__【7】__Ω。
9. 下圖為陰極射線管簡圖,可測得電 子的電量 e 與質量 m 的比值。將電 子由 O'射出,通過一組互相垂直的 電、磁場,調整電、磁場,使電子 筆直通過,打中螢幕中心0點,此時電、磁場的強度分別為 E 和 B。若將電場撤除後保留磁場,並量得電子在 磁場中的軌跡半徑為 R,則電子的 e/m 值為__【9】__。(請以 E、B、 R 表 示)
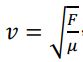
二、證明題1. 試証明以橫波形式傳遞能量的繩子,其波速 ,其中F為繩所受張力, μ為繩之線密度
2. 從距離星球很遠的地點,測量一已知光譜線的重力紅位移,即可得知該星球 的質量與半徑的比值(M/R)。已知光子的等效靜止慣性質量由光子的能量決 定。有一頻率為之光子,假設其重力質量即等於慣性質量,當此光子自 某星球表面發射至脫離星球的重力場時,其能量將會減少,頻率會改變Δ ,若Δ<<,試証明Δ/為。