所屬科目:教甄◆物理科專業
1. 一弦振動形成駐波,其波動方程式為 ,其中y和 x的單位為公分、t的單位為秒,則當 秒時,在弦上x=1.5cm處質點的 振動速度為何? (1) cm/s。
3.下圖代表一個氨分子(NH3)的分子結構圖,類似金字塔結構,三個氫原子分佈在 邊長為d的正三角形頂點上,另外一個氮原子與三個氫原子皆相距2d,則此 系統的質心和氮原子距離多遠? (3) d。(已知 N=14、H=1)
4.如下圖所示之電路,ε1=12 V,r1=0.2Ω,ε2=6 V,r2=0.1Ω,且R1、R2 及R3的電阻皆為1Ω,則通過R2的電流為若干? (4) 安培。
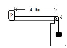
5.如下圖所示,長5.0 m的均勻細線,質量為0.010 kg,一端繫於固定在桌上 的起振器P點,另一端經光滑的定滑輪Q,懸掛質量為1.0 kg的重物,PQ間 恰好是4.0 m。調整起振器的振動頻率,直到PQ間產生七個清楚的駐波波節 (不含P、Q兩節點)為止,則此時起振器的振動頻率為若干? (5) 赫。
8.如下圖所示,一無電阻且光滑的ㄇ字型軌道導線鉛直而立,另 一電阻為R的直導線AC套在軌道上,可水平上下滑動,整個 系統置於均勻磁場B中。今將AC導線由圖中位置靜止釋放,則此導線落下的終端速度為何? (8) 。
9.一帶電質點由原點射入一方向平行於x軸的均勻磁場B中,其入射方向在xy平面,且與x軸夾60°角,可將入射速度分解成相互垂直兩分量,以致質點在磁場中的軌跡將為一螺旋線。若此螺旋線之半徑為r、螺距為d,則d和r之比值為__________ 。
(1)一物體質量m,以半徑r、速率v作等速率圓周運動,試證明:此物體所受 的向心力可用來表示。(4分)
(2)右圖所示,一質量m的小鋼珠由半徑 R的光滑半球面頂端,以微小的初速 沿球面滾下,此小鋼珠滑離球面瞬間 ,其角動量量值為何?(4分)
7.由導線圍成的圓形迴路,半徑r,載有電流i,中心軸上某點和圓心距離a, 試求此點的磁場強度。已知 比歐-沙伐定律如下: (5分)
8.一U形管中裝有均質液體,以活塞在一邊暫時壓下液體,移去活 塞後,液體將開始振盪,若此現象可視為簡諧運動。試證明: 振盪週期 ,其中L為管中液體長度。(5分)
9.一游泳池水深h,池底有一半徑為R的圓盤狀光源,如下圖所示 ,若設空氣折射率為1,水的折射率為4/3,則若水面浮著一塊 圓形保麗龍板,恰能將來自水底的光線全部遮住,則保麗龍板的 面積為何?(4分)
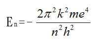
10.試推導:波耳氫原子能階公式,其中k為庫侖常數、m:電子質量、n為正整數、h:普朗克常數、e:基本電荷。 (6分)