所屬科目:教甄◆數學專業
2. 如右圖,長方形的每個邊皆被三等分,已知長方 形的面積為12平方公分,試求陰影處的面積為多 少? (A) 3 平方公分 (B) 平方公分 (C) 3.5 平方公分 (D) 4 平方公分
9. 一球自 20 公尺高的樓頂自由落下,每次著地時反跳高度為落下高度的 ,則 此球自落下到靜止於地面,所跳動的距離為多少? (A) 40 公尺 (B) 60 公尺 (C) 80 公尺 (D) 100 公尺
10. 甲投籃的命中率是,現在他有投 10 球的機會,請問他恰好投進 6 球的機率為 多少? (A) (B) (C) (D)
11. 位在台北車站附近的忠孝東西路與中山南北路約為互相垂直,我們將此約為互 相垂直的二段路延長形成坐標平面上的 X 軸與 Y 軸,並視台北車站位於這二段 路的交點上,而得到下面的簡圖。 若 sinθ tanθ > 0,且 cosθcotθ < 0,則下列何地最可能落在 Θ 的終邊上? (A) 榮星花園 (B) 兒童育樂中心 (C) 中山堂 (D) 師大
12. 右圖中,小圓的 是陰影部分,大圓的 是陰影 部分,求小圓的陰影面積對大圓的陰影面積的 比。 (A) 5:8 (B) 5:16 (C) 7:9 (D) 45:56
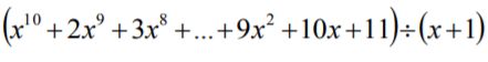
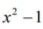
18. 被 除之後所得的餘式為何? (A) -1 (B) 1 (C) -3 (D) 3
19. 右圖為一個正立方體,H、G、F 分別為、、 的中點,現在沿三角形 GFH 所在的面鋸掉一 個角。問鋸掉的體積是整個體積的幾分之幾? (A) 1/16 (B) 1/24 (C) 1/48 (D) 1/64
20. 某長方體的三邊長分別為 3 公分、4 公分、5 公分,則此長方體的外接球的半 徑是多少? (A) 公分 (B) 2 公分 (C) 6 公分 (D) 5 公分
21. cos 2θ 其值與下列哪一個選項不相等? (A) (B) (C) (D)
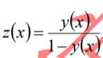
22. 令 且 ,則 z(3) = ? (A) (B)(C) 4 (D) 5
23. 在坐標平面上,方程式 的軌跡是什麼? (A) 二相交直線 (B) 圓 (C) 橢圓 (D)雙曲線
25. 若 x + y = 6,xy = 4,則 x3 + y3 =? (A) 72 (B) 72 (C) 144 (D) 144
26. 所得商式的係數和是多少(不管餘 式)? (A) 30 (B) 31 (C) 32 (D) 33
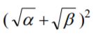
27. 設 α,β 為 x 2 + 7x + 4 = 0 之二根,則 =? (A) - 3 (B) - 11 (C) 3 (D) 11
28. 設 ,則實數 x = ? (A) (B) (C) (D)
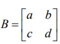
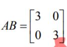
29. 設方陣,若 ,且 ,則下列何者正確? (A) a+b=3 (B) c+d=3 (C) a-b=3 (D) c-d=3
30. 如右圖,E、F 分別為長方形 ABCD 之二邊 、 之中點,G 為 和 之交點, H 為 和 之交點,則三角形 EGH 的面 積是長方形 ABCD 面積的幾分之幾? (A) 1/24 (B) 1/20 (C) 1/16 (D) 1/12
32. 一旗桿直立於一塔高 8 公尺的塔頂上,今在地面上一點,測得塔頂的仰角為 45o,旗桿頂的仰角為 60o,則旗桿的長為: (A) 4( -1) 公尺 (B) 4( -1) 公尺 (C) 8( -1) 公尺 (D) 8( -1) 公尺
36. 連續整數 = 2110 ,則 a2013=? (A) 2030 (B) 2040 (C) 2050 (D) 2060
38. 右圖中,A、B 和 C 分別是 3 個圓的圓心,每個 圓的半徑都是 20 公分,則陰影部分面積最接近 下列何值? (A) 550平方公分 (B) 590平方公分 (C) 630平方公分 (D) 670平方公分
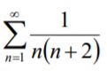
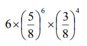
39. 下列哪一個無限級數收歛? (A) (B) (C) (D)
40. 如右圖, 與 為圓 O 之兩直徑,且 ⊥,弦 交 於 E,若 = 5, = 3 ,試問圓 O 的面積為何?(A) 18π (B) 20π (C) 22π (D) 24π C B A E C B D A O F