所屬科目:教甄◆物理科專業
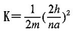
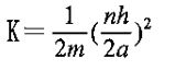
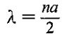
15. 一自由電子被侷限在位置坐標x=0與x=a之間作直線運動,而a為奈米尺度,因此該電子的物質分成兩端為節點的駐波,如圖為n=l與n=2的駐波狀態。設h為普朗克常數、m為電子質量,則下列 關該電子物質波性質的敘述,哪些正確?(複選)(A)該電子的物質波為電磁波(B)該電子處於第個駐波狀態時的物質波波長(C)該電子處於第n個駐波狀態時的物質波波長(D)子處於第n個駐波狀態時的動能(E)該電子處於第n個駐波狀態時的動能
1.一質量為m,電量為+q的金屬塊,以某一初速度進入一相互垂直的均勻電場、磁場及重力場中,電場方向向右,磁場方向為指出紙面,重力場強度為g向下,假設金屬塊由A點平行電場方向向右作等速度運 動,至B點時,恰好碰撞到電場的開關,瞬間使電場消失。金屬塊由於碰撞而使動能變為原有的四分之 一,並等速沿原路返回A點,若金屬塊與接觸面的摩擦係數為μ,求金屬塊由A點往B點運動的過程中, 其所受摩擦力的大小為何?
2. 一容器中裝一折射率為的某液體,且將一平面鏡斜放在液面下,平面鏡與水平面夾角7.5°,今 將一束紅色光以60°的入射角射入液體中,當紅色光由液體中折射至空氣中時,其折射角為θ,則 sinθ之值為
3.當一束光線以入射角i自真空穿過一個兩面平行、厚度為H,折射率為n的透明介質時, 射出介質的光線與射入時平行之橫向位移為D,而二相鄰反射光線的橫向位移為D’ , 請以i、n、H來表示D’
4.空氣阻力可以忽略的狀態下,在一水平地帶將一物體以v=20m/s的初速與水平成仰角 30°斜向抛出,設g=10m/s2,則當物體抵達最大高度的時,其法故加速麿大小為 m/s2 °
5.已知質子之質量為1.0073u,氦原子核()之質量為4.0026u,鋰原子核()之質量為7. 0160u。以具有700 keV動能 的質子去擊打鋰靶,而產生二個氦核。依愛因斯坦的E=mc2質能互換公式估算,兩個氦核所帶的總動能約為多少?eV
7.—均勻星球以角速度ω自轉,若重力為維持球體不因離心現象而分離的唯一作用力,則此星球的最小密度為 (重力常數為G)
9.小輪設計了一種實驗裝置用來研究碰撞問題,其模型為用完全相同的輕繩將n個大小相同、質量不等的小球並列懸掛於天 花板、球間有微小間隔。從左到右,球的編號依次為1、2、3........n,球的質量依次遞減,每球質量與其相鄰左球質量 … 之比為k (k < 1)。今將1號球向左拉起高度為h (小於繩長),然後由靜止釋放,使其與2號球碰撞,2號球再與3號球 碰撞,........,所有碰撞皆為正面彈性碰撞,其中不計空氣阻力與忽略繩的伸長,若碰撞後5號球上升的高度為16h (小於繩長),則 k = °
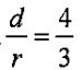
13.在一厚度為d的門中,安置一長度與門厚相同的玻璃圓柱體,其半徑為r。若玻璃圓柱體的折射率n=且,則從鬥外射入門内的光線中,可到達玻璃圓柱體右測中心點P的最大角θ的正弦值(sinθ) 為何?
14.水平光滑桌面上的甲球向右等速滑行,過程中無滾動,接著與靜置於桌邊的乙球作正向(面)彈性碰 撞。碰撞後兩球各自落於水平地面上,落地過程中兩球僅受重力。已知甲、乙兩球半徑相同,質量分別為2m及m,落地點與鉛直桌邊底部的水平距離分別為P和Q,則之值為何?