所屬科目:教甄◆物理科專業
3. 有大小兩個木塊質量分別為M=4kg和m=1kg,放置在水平無摩擦的地面上,大木塊和一條彈力常數k =100N/m的彈簧連結,彈簧的另一端則是固定在牆上,如圖一,兩木塊 間的靜摩擦係數為0.4,動摩擦係數為0.3,問欲使m可以與M一起作簡諧 運動,而不至於在大木塊上滑動,問彈簧與木塊系統的振幅最大是多少? (重力加速度g=10m /s2 計) (A)15 (B)20 (C)30 (D)40 cm。
4. 一衛星在距地心為R處以動能Ek繞地作圓周運動,今欲使該衛星在軌道半徑為nR(n>1)繞地運動,需 再供給能量xEk,則x為: (A) (B) (C) (D) 。
6. 從地球上看月球和太陽,兩者看起來大小似乎相近,如附圖所示,月球邊緣對 觀察者所張開的角度(稱為視角)為 0.51°,若觀察太陽,則為 0.53°,如果地 球到月球與地球到太陽的距離分別為 3.84×105 公里與 1.50×108 公里,請估計月 球與太陽實際半徑的比值為何?(A)1.2×10-3 (B)2.4×10-3 (C) 1.2×103 (D)2.4 ×103 。
7. 設一球狀雨滴在空氣中所受之阻力,式中 ρ 為空氣密度,A 為雨滴 之截面積,v為速度,C 為一常數(稱為曳力係數)。當球狀雨滴半徑增為原來的 2 倍時,其終端速度增 為原來的若干倍? (A)2 倍 (B)4 倍 (C)倍 (D) 2倍。
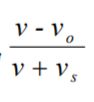
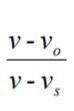
10. 汽車以vs之速度行駛,車上喇叭之發音頻率為f,以v表聲速。下列各甲、乙、丙、丁、戊觀測者之速率 皆為vo,且v>vs>vo,則 (A)若甲在車之前方,與車同向而行,則甲所聽到之頻率為.f (B)若乙在車之後方,與車同向而行,則乙所聽到之頻率為 .f (C)若丙在車之前方,與車反向而 行,則丙所聽到之頻率為.f (D)若丁在車之後方,與車反向而行,則丁所聽到之頻率為 .f。
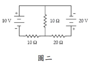
1. 如圖二之電路迴路,10 V電動勢座所提供的功率為 _______ watts。
4. 如圖三,質量m的木塊放在無摩擦的水平面上,木塊連結到彈力常數為k的水平彈簧一端,彈簧的另一端則是固 定在牆上,當木塊受一向右的固定力F作用,彈簧由x=0向右伸長,圖四顯示木塊的動能與位置x的關係,木塊 最大動能為5 J,試求外力F的大小是 _______ N。
5. 在圖五中,波源S1及S2相距 160m,發射出波長為 320m的無線電波,而且波源S1發 出的波相位領先波源S2的波相位 90°,如果讓偵測器由x=0 出發沿著x軸向右移動, 偵測到無線電強度因建設性干涉產生最大值時,其x坐標最小值為 _______ m。
9. 某人在高處 A 點鉛直上拋一石子,已知石子在 A 點上方 h 處的速率為在 A 點下方 h 處的速率的倍,則此石子 公 告 用 由 A 點算起可上升的最大高度為 或 ______ h。
11. 亥姆霍茲線圈的構造為兩半徑為 R 的平行圓形載流線圈,圓心相距亦為 R,圓心連線 中點附近有一大區域會形成均勻的磁場。實驗中常用亥姆霍茲線圈來建立均勻磁場。 若二圓形載流線圈均為 N 匝,載有電流 I,求圓心連線中點的磁場大小為_________________
1. 一個緊繃的輸送帶始終保持以 V=4.0 m∕s 等速水平移動,如圖所示,質量 1 kg 的物體,無初速度地放在皮帶 上 A 點,物體與皮帶間的動摩擦係數 0.2、靜摩擦係數 0.3;A、B 間距離為10m,請畫出物體從 A 到 B全程的 v-t圖。 (g=10 m∕s2 )