所屬科目:教甄◆數學
3. 如圖, ∆ABC 中, = 10 , D, E , F 分別為三邊 及 上的點,使得與。則四邊形則四邊形 AEDF 的周長為何? (A) 20 (B) 25 (C) 30 (D) 35
4. 設 α , β , p, q, r , s 為實數, ,如果 tan α 和 tan β 為方程式 x 2 − px + q = 0 的二根,且 cot α 和 cot β 為方程 式 x 2 − rx + s = 0 的二根, ,則 rs 等於下列何者? (A) pq (B) (C) (D)
5. 已知三角形 ABC 的面積為 10,且 D, E , F 分別為邊 及 上的點,此三點都異於 A 點,使得 = 2, = 3 ,如圖所示。如果 ∆BCE 的面積等於四邊形 DCEF 的面積,試問∆BCE 的面積為何? (A) 4 (B) 5 (C) 6 (D)
6. 試問方程式 = 1 共有多少個整數解 x ? (A) 1 (B) 2 (C) 3 (D) 4
9. 試問 之值為下列何者 之值為下列何者? x →0 x − sin x (A) -2 (B) 1 (C) 2 (D) 不存在
10.已知實數 a, b, c 滿足條件 a = √2 + b, 且 2ab + 2√2 c 2 + 1 = 0 ,試問下列何者不正確? (A) a = − (B) a = (C) b = − (D) a + b + c = 0
11.已知 ,其中 i 2 = −1 ,試問下列何者不正確? (A) z5 + w5 = −1 (B) z 7 + w7 = −1 (C) z 9 + w9 = −1 (D) = −1
13.已知正數 a, b 滿足條件 log9 a = (a + b) ,則 之值為何? (A) (B) (1 + √3 ) (C) (D) (1 + √5 )
15.在 ∆ABC 中, ∠C = 3∠A, = 48, = 27 ,則 =? (A) 33 (B) 35 (C) 37 (D) 39
16.化簡之值為下列何者? (A) 3 (B) 4 (C) 6 − 3√3 (D) 5−2√3
17.試問之值為下列何者? (A) 1 (B) 2 (C) (D)
18.如果 y = f ( x) 為微分方程式 = ( y − 1)( y − 2) 的解,且滿足條件 f (0) = ,則 f ( x) 之值為何? (A) 1 (B) (C) 2 (D) 3
19.以下矩陣都是 n 階方陣,下列何者為正確? (A) 如果 AB=CB AB=CB,且B≠ 0,則 A=C (B) 如果 A 2 = A ,則 A=0 或 A=I(其中 A=I I 為單位矩陣) (C) (A + B)(A - B) = A 2 - B2 (D) 如果 AB=I,則 AB=I A 的轉置矩陣必為可逆。
22.試問滿足方程式 ( x 2 + y 2 − 4) 2 ( xy − 1)2 + = 0 共有幾組實數解 ( x, y ) ? (A) 4 (B) 6 (C) 8 (D) 10
23.設 x, y 為實數,如果 x, y 滿足條件 ( x − 3)2 + ( y − 3)2 = 6 ,則 之最大值為何? (A) 2 + √3 (B) 3 + 2√2 (C) 3√3 (D) 6
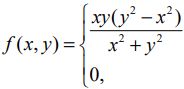
24.設 ,,下列何者為正確? (A) (0, 0) = −1 (B) (0, 0) = 1 (C) f ( x, y ) 在點 (0, 0) 處不連續 (D) 函數 f 在(0,0)處不可微分
25.已知函數 f 的定義域為所有正整數,且滿足條件 f (1) = 2013 及對於任意正整數 n > 1 , f (1) + f (2) + L + f (n) = n2 f (n) 成立,試問 f (2012) 之值為何? (A) (B) (C) (D)2012
26.= (A) (B) (C) (D) √π
27. Ω = ( x, y ) ∈ R 2 : x + y ≤ 2; x, y ≥ 0 ; = (A) (B) (C) (D)
28. Γ = z (θ ) : z (θ ) = , −π ≤ θ ≤ π , a 為任意實數,則 = (A) π i (B) - π i (C) 2 π i (D) -2 π i
29. =(A) (B) (C) (D)
30.=(A) (B) (C) (D) √ π
31. [⋅] 是高斯函數 ,=(A) 0 (B) -1 (C) 3 (D) 2
32. =(A) 7 (B) 3 (C) (D)
33. ;=(A) 1 (B) 0 (C) (D)
34.若 在 x = 1 處連續,則 a =(A) 3 (B) 0 (C) 1 (D)
35.若 f ' ( k ) 存在,則= (A) f ( k ) + kf ' ( k ) (B) 0 (C) kf ' ( k ) − f ( k ) (D) f ( k ) − kf ' ( k )
37. =(A) + c (B) +c (C) +c (D) +c
38. −1 xdx =(A) (B) (C) (D)
39. 是(A) 發散 (B) 絕對收斂 (C) 條件收斂 (D) 以上皆非
40.瑕積分是 (A) 發散 (B) 收斂到 (C) 收斂到 (D) 以上皆非
43.球面 S : x 2 + y 2 + z 2 + x + y + z − 1 = 0 與直線 交於 A, B 二點, 線段長=(A) (B) (C) (D)
44. ; , t ∈ R 兩直線之交點為(A)(16,-5) (B)(17,-4) (C)(18,-6) (D)(17,-6)
45.方程組 有無限多組解,則 a + b =(A) -56 (B) -57 (C) -58 (D)-59
46. x + y + z = 7 、 y = z 兩平面之夾角是(A) (B) (C) (D)
47.過 P(1, −3, −5) 、 P (2,1, 7) 兩點之直線的對稱式為(A) (B) (C) (D)
48. 若 α 、 β 、 γ 為任意三角形之三個內角,則 =(A)1 (B)2 (C)3 (D)4 (E)一律給分
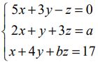
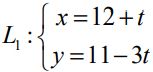
49.點 P(1, −1) 到直線 3x + 4 y = 7 的距離是(A) (B) 1 (C) (D)