102年 - 102 四技二專統測_共同科目:數學(C)#16160
試卷資訊
所屬科目:四技二專統測◆數學C
選擇題 (25)
7某生的測驗成績與相對上課時數如表(一)。若以上課時數為權數,則其6個科目的加權平均成績為何?
(A) 71
(B) 72
(C) 73
(D) 74
| 科目 | 國文 | 英文 | 數學 | 歷史 | 地理 | 公民 |
| 成績 | 72 | 68 | 72 | 82 | 75 | 86 |
| 時數 | 5 | 4 | 4 | 2 | 2 | 2 |
則2m+n=? (A) - 6 (B) - 2 (C) 4 (D) 8


(A)97/36 (B)49/18 (C)17/6 (D)26/9




為170公分,標準差
為4公分,且全體新生中身高小於166公分的人數約為120人,則此校新生人數與下列何者最接近?
(A) 375 (B) 750(C) 1125 (D) 1500 

(A)16 (B)64 (C)256 (D)1024

之值為3,則三階行列式
之值為何?
(A) -9 (B)-3 (C) 3 (D) 9

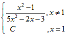
。若 f 在x=1 處連續,則C= ?
(A)1/8 (B)1/4 (C)1/2 (D) 1