所屬科目:四技二專統測◆數學C
1. 已知坐標平面上點 A(1,5)與 點 B(9,3)的中點為M(x,y),試求 x+y之值 = ? (A)8 (B)9 (C)10 (D)11
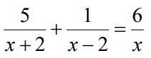
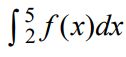
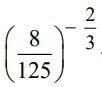
2. 試求 之值= ? (A)(B)(C)(D)
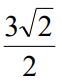
3.化簡√50--√8=? (A)(B)(C)(D)
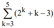
4. 試求的值 = ? (k=3 to k=5) (A)55 (B)59 (C)63 (D)67
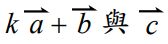
5.已知兩向量=(5,4)、=(2,0),則= ? (A)3 (B)4 (C)5 (D)6
6.設0<θ<2π, 若 sinθ+cosθ=0,則θ為第幾象限角? (A)第一象限角或第二象限角 (B)第三象限角或第四象限角 (C)第一象限角或第三象限角 (D)第二象限角或第四象限角
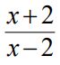
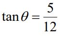
7.已知,則=? (A)4 (B)5 (C)6 (D)7
8. 在坐標平面上有四條直線為L₁:3x-4y=7、L2:3x-4y =2、 L3 : 4x + 3y = 4與 L₄ : 4x + 3y = k的交點為A、B、C、D四 點,且ABCD 四點連成為正方形。若k>0,則k= ? (A)9 (B)10 (C)11 (D)12
9.若 x、x+10、x+100成等比數列,則公比r= ? (A)9 (B)10 (C)11 (D)12
10.從6男4女中,任選3人組成工作小組,若男、女至少各1人,試選法有幾種? (A)72 (B)80 (C)88 (D)96
11.已知θ為第一象限角,且 ,試求sin 2θ的值= ? (A)(B)(C) (D)
12.若 |x-1|=8的解為a、b,試求a+b之值= ? (A)2 (B)3 (C)4 (D)5
13.設=(1,−1,2)、=(2,1,3),令=(1,1,1),若垂直,試求 k值= ? (A)-1 (B)-2 (C)-3 (D)-4
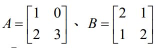
14.若矩陣, 則AB=? (A)(B) (C)(D)
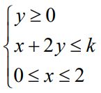
15.若二元一次聯立不等式, 在坐標平面圍成的封閉區域 0≤x≤2 } 為P,且P的面積為4,則k= ? (A)4 (B)5 (C)6 (D)7
16.拋物線x²+4x+y=0的圖形與x軸交於A、B兩點,且頂點為V,試求 三角形∆AVB的面積= ? (A)3 (B)4 (C)6 (D)8
17.若x為整數,則滿足一元二次不等式2x²-10x+11<0的解共有幾個? (A)0 (B)1 (C)2 (D)3
18.已知函數 f(x)與 g(x)皆為可微函數,其函數值與一階函數值如下表: 若 h(x) = f(g(x)),則h'(2) = ? (A)16 (B)24 (C)32 (D)40
19.若、,則=? (A)5 (B)7 (C)9 (D)11
20.設圓 C: x² + y² – 2x-4y-4=0與直線 L: 3x-4y+k=0相切,若k>0, 則k= ? (A)10 (B)20 (C)30 (D)40