所屬科目:四技二專統測◆數學C
1. 已知。若將( 1+2 i)( 2–i)化成 a+bi 之形式,其中 a、b 為實數,則 a+b=?(A) – 2(B) 0(C) 4(D) 7
2. 已知∆ABC中,∠A 為直角,試問下列敘述何者正確?(A) (B) (C)(D)
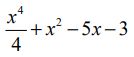
3. 下列何者可為函數 f(x)=x3+2x –5 的反導函數?(A)(B)(C)(D)
4. 試求 tan2025°+sec2025°=?(A)(B) (C) (D)
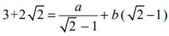
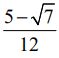
5. 若,其中 a、b 為有理數,則 a2 –b2=?(A) 6(B) 5(C)(D)
6. 溶液酸鹼度的公式為 pH=–log[H+],其中[H+]為溶液中的氫離子濃度(單位:莫耳/升)。圖(一)為雨季中某日 24 小時內酸雨檢測站雨水 pH 值與時間之圖形。若當日檢測到氫離子濃度最小值為 a,則當日氫離子濃度最大值約為多少?(A) 1.5a(B) 3a(C) 100a(D) 1000a
7. 若數列 –2,a,b,7 成等差數列,且數列 a,b,p,q 成等比數列,則 p+q=?(A) 60(B) 70(C) 80(D) 90
8. 試問點(sin155°–sin55° , cos222°–cos122° )在第幾象限?(A) 一(B) 二(C) 三(D) 四
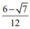
9. 已知 k 為實數,且一元二次方程式 x 2 + kx = k – 3 有兩個共軛虛根。若 k 之解的範圍為區間( a,b),則 b–a=?(A) 4(B) 6(C) 8(D) 10
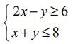
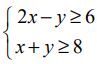
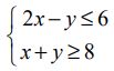
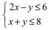
10. 已知在坐標平面上有多筆物件資料,今將其分成三類,分別以▲、●、★ 表示。若利用兩條直線 L1 :2x–y=6 與 L2:x+y=8 切割分辨出三類物件資料所屬不同區域,如圖(二)所示,則下列哪一組不等式包含★類所在的區域?(A)(B)(C)(D)
11. 茗茗幫家裡設計一款拋物線造型的裝飾品,在設計圖的坐標平面上,畫出此拋物線 為 Γ:y2 = 8x,如圖(三)中的實線。但大家討論後認為 Γ 開口太大,建議保持 Γ 的頂點不變且仍維持拋物線造型,並調整開口如圖 ( 三 ) 中的虛線 Γ '。若 Γ '的正焦弦長為 4 單位長,則下列有關 Γ '的敘述何者正確?(A) 焦點坐標為( 1,0) (B) 方程式為 y2=6x (C) 焦距為 2 (D) 準線為 x=–2
12. 試問函數 f(x)=2x3 –3x2 –12x+1 在下列哪個區間內為遞增?(A) ( –2,1)(B) (–1,2)(C) ( − ∞ ,1)(D) (2, ∞ )
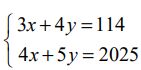
13. 若 x = a , y=b 為聯立方程組 的解,則=?(A)(B)(C)(D)
14. 從 1 到 9 中取出兩個相異的奇數及兩個相異的偶數排成一個四位數。若要求兩個奇數不相鄰且兩個偶數也不相鄰,則滿足此條件的四位數共有幾個?(A) 120(B) 480(C) 720(D) 800
15. 已知 A 為 3×n 階矩陣、B 為 k×4 階矩陣,試問下列敘述何者正確?(A) 若 AB 有意義,則 n=k(B) 若 A+B 有意義,則 n=k(C) 若 AB 有意義,則 n=3 且 k=4(D) 若 A+B 有意義,則 n=3 且 k=4
16. 在某金屬容器中放置質量 公克的放射性物質 A。經過 x 年後,該容器中的物質 A 質量剩下 f(x)公克。已知 f(x)滿足關係式:f(x)=ax ,其中 a >0、a≠1,且經過 T 年後,物質 A 質量剩下公克,試問下列敘述何者正確? (A) 經過 4T 年後,物質 A 所剩質量大於公克 (B) 經過 6T 年後,物質 A 所剩質量大於公克 (C) 經過 8T 年後,物質 A 所剩質量少於公克 (D) 經過 10T 年後,物質 A 所剩質量少於公克
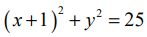
17. 已知坐標平面上三點 A ( 1 , 4 )、B ( – 3 , – 4 )、C ( 5 , 2 ) 形成一個直角三角形,如圖 ( 四 ) 所示,試問下列何者為∆ABC的外接圓方程式?(A)(B)(C) (D)
18. 已知坐標平面上四點 O , P , A ( 1 , 2 ), B ( – 3 , 4 ),其中 O 為原點,且點 P 在線段上,如 圖(五)所示。若∆OAP 的面積:∆OBP 的面積=2:7,則點 P 的坐標為何? (A)(B)(C) (D)
19. 已知∆ABC 中, =2 且∠C=60°。若 =1:3,則∆ABC 的面積為何?(A) (B)(C) (D)
20. 某攝影師參觀一棟圓樓建築,從地面上兩個不同位置點 A、B 拍攝一樓圓型展演劇場舞台上位於 C 點的擺飾,如圖 ( 六 ) 所示。已知 A、B、C 三點所在之圓的半徑為 10 公尺,且 ∠ACB=60°,則 A、B 兩點的距離為多少公尺? (A) (B) 10 (C) (D) 20
21. 已知 L 是坐標平面上通過點 ( 1,–1)的直線,且其 x 截距為 a,試問下列敘述何者正確?(A) 若 L 的 y 截距為正,則 0<a<1(B) 若 L 的 y 截距為負,則 a<–1(C) 若 L 的斜率為正,則 a>2(D) 若 L 的斜率為負,則 a<0
22. 小華遙控一台空拍機。今空拍機從點 A 出發,首先垂直上升 10 公尺 ( 至點 B ),往東飛了 5 公尺(至點 C),再往南飛 7 公尺(至點 D),然後下降 4 公尺到達點 E,如圖(七)所示。 試問此時空拍機和原出發點間的距離約為多少公尺? (A)(B) (C)(D)
23. 已知直線L為函數 f(x) = x2圖形在 P( 4 , 16 )的切線,A點為 L 與 x 軸交點,且 B 點為 P 點 在 x 軸上的投影點,如圖 ( 八 ) 所示。試問 f (x) 的圖形與 x 軸及直線 L 所圍成陰影區域 之面積為多少平方單位? (A)(B) (C) (D)
24. 已知空間中一梯形 ABCD, 平行,且垂直,其中三個頂點坐標分別為 A( 4,–3,–2)、C( 3,0,2)、D( 1,1,0),如圖(九)所示,試求=? (A) 1 (B)(C) 2 (D)
25. 芳芳用一張長度為 3 尺、寬度為 2 尺的紙板設計紙盒,從長度為 3 尺的兩邊 Ai 點剪至 B i 點,再將 A i 點對折至 B i 點,並將長方形 AiB iD iCi插入內部以固定紙盒,其中 i = 1 , 2 , 3 , 4,作法如圖(十)所示。設 = a 尺,且= 2a 尺,i = 1 , 2 , 3 , 4。若摺出的紙盒有最大體積,則 a=?(A) (B) (C)(D)