所屬科目:四技二專統測◆數學C
1. 關於下列各極限,何者錯誤? (A)(B)(C)(D)
2. 若 a = tan 480° ,b = sec135 °,c =cos(- 60° ) ,則下列有序數對何者在第二象限? (A) (b , c ) (B) ( a ,b ) (C) (c ,a ) (D) (c ,b )
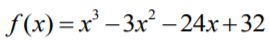
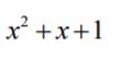
3. 已知多項式 f( x ) 除以 所得之餘式為,則 f (x) 除以 所得之餘式為何? (A) -4 (B) 2x-5(C) 6 (D) 8x-5
4. 圖(一)為某校一年 A 班的英文考試之以下累積次數分配曲線圖,請問由圖(一)顯示之資訊 可推得哪一個選項正確? (A) 全距為 100 (B) 中位數介於 60-70 之間 (C) 標準差為 80 (D) 百分等級(PR 值)高於 90 者只有一位
6. 若 sin80° = a,cos59° = b ,則 cos21° =? (A) (B) (C) (D)
7. 若給定一橢圓標準式,則下列何者正確? (A) ( 4, 2) - 為其中一焦點 (B) ( 9, 2) - 為其中一長軸頂點 (C) ( 4, 10) 為其中一短軸頂點 (D) 正焦弦長為
8. 設 ,其中 i = ,則 z 之主幅角為何? (A) (B) (C) (D)
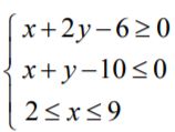
10. 在的條件下,求其可行解區域的面積(平方單位)為何? (A) (B) (C) (D)
11. 設函數 ,若其圖形和 x 軸的交點個數與函數的最大值分別 為 a、b ,則 ab =?(A) 6 (B) 9 (C) 12 (D) 18
13. 設在閉區間[ -3, 3]內的最大值與最小值分別為 m 、 n , 則 m - n =? (A) 90 (B) 98 (C) 100 (D) 108
14. 坊間的擲骰子遊戲,一次擲出四顆公正骰子,在下列情形之下才可以計算其得點數 ( 設 x、 y、 z 均不同), (1)若骰子點數出現 x 、 x、 y 、 z 時,則玩家之得點數為 y z + ; (2)若骰子點數出現 x 、 x、 y 、 y 時,則玩家之得點數為 2x 與 2y 中較大者。 求玩家擲出得點數為 3 (即「BG」)的機率為何? (A) (B) (C) (D)
15. 若 k 為實數,且點 P (1, k) 為曲線 上之一點,求曲線之圖形 為何? (A) 圓 (B) 拋物線 (C) 橢圓 (D) 雙曲線
16. 滿足 有意義的整數 x 共有多少個? (A) 3 (B) 4 (C) 5 (D) 7
17. 設 ,則 f ' (2) =? (A) 1 (B) 2 (C) 3 (D) 不存在 ˉ
18. 設 α 、 β 為方程式 之二根,已知多項式 除以 x-α 、 x - β 所得的餘式分別為-1、2,則 k =? (A) 4 (B) 5 (C) 6 (D) 7
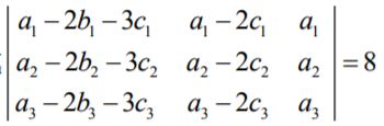
20. 已知三階行列式 ,則 =? (A) -4 (B) -2 (C) 2 (D) 4
21. 設 平 面 上 三 點 A(1, 1) 、 B( 5, 2) - 、 C( 5, 2 ) , 且 在 的 正 射 影 為 , 若 ,則 x+ y =? (A) (B) (C)(D)
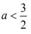
22. 設 a 為實數,將展開後,若 x 3 之係數大於其他各項係數,則 a 的範圍為何? (A) a 4 (B) (C) a > 4 或 (D) <a<4
23. 在 △ABC 中,若 ∠A 之內角平分線交 於 D ,其中 = 3 、 = 6 ,且∠ A=120 ° , 如圖(二),則=?(A) (B) 3 (C) 2 (D)
24. 在人工智慧的分類技術中,用到以直線分類不同物件的概念。設平面上有七個點 A(1, 3) 、 B( 3, 2 ) 、 C(-1, 4) 、 D(-1,2)、 E( 1,-2 ) 、 F(-2 ,-1)、 G( 3, 2) - 分屬 ●、▲二類,其中直線 未能將它們正確分類,如圖(三)標示。 若將 L 平行移動至新的位置成為新直線 L1 且能達到正確分類目的,則下列何者可為 L1 的 直線方程式? (A)(B) (C)(D)
25. 設 ,已知在閉區間 [ -1, 1]上 f( x )≥ 1 且 , 則此兩曲線與在閉區間 [ -1, 1]所圍成區域的面積為何? (A) 4 (B) 5 (C) 6 (D) 7