所屬科目:研究所、轉學考(插大)─統計與測驗(含研究法)
2. 當估計標準誤等於時,X 與 Y 的關係是_____? (AB)完全正相關 (AC)接近零相關 (AD)完全負相關 (AE)A、B 正確 (BC)A、C 正確 (BD)B、C 正確
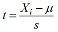
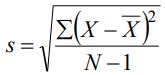
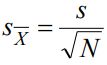
7. 當母群 σ 未知,且每次抽樣人數為 10 人時,下列何者敘述是錯誤的? (A)要用估計 σ (B)此抽樣分配的標準差為 (C)形成 t 分配, (D)需查 t 分配表,會失去一個自由度
15.下列有關信度的敘述,下列何者是錯誤的? (A)所有影響效度的因素都會影響信度 (B)其他條件保持恆定時,智力測驗的信度高於人格測驗 (C)通常內部一致性方法所估計的信度較複本方法為高 (D)信度是對相同群體在不同時間所測得結果的一致性 (E) 只要全量表的信度高(),分量表的信度低() 亦可接受