所屬科目:教甄◆物理科專業
1. 如左下圖,某行星以橢圓軌道繞太陽 S 運行, = R、 = 9R、 = = 3R ,則行 星由 B 點經 C 點運行到 D 點,所需時間與週期之比值為 (A) (B) (C) (D)
2. 如右上圖,光滑平行軌道與長度 的 PQ 導線,兩者之電阻均可忽略,電阻器的電阻為 R, 強度為 B 的均勻磁場垂直進入紙面。今以定力 F 將 PQ 導線由靜止向右拉動,則電阻器 R 消耗的最大功率為 (A) (B) (C)(D)。
4. 一正弦波之振幅為 0.02 公分,波速為 125cm/s(沿”-x”方向),週期為 秒,則其波函數 為(A) (B) (C) (D)。
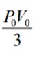
5. 某單原子理想氣體一莫耳經過右圖中之循環,則由 a 至 c 的過程中,共作功 (A)8P0V0 (B)P0V0 (C)3P0V0 (D)
7. 質量 M 之木塊置於光滑平面,有一質量 m 之子彈以水平速度 v 射入木塊並嵌入其中,若 子彈在木塊內所受阻力為定值 f,則子彈可深入木塊之距離為 (A) (B) (C) (D) 。
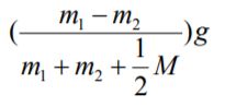
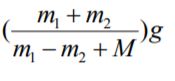
8. 兩木塊質量為 m1、m2(m1>m2),繫於一輕繩的兩端並掛於一質量為 M、半徑為 R 之定滑輪上,定滑輪通過中心軸之轉動慣量為, 若兩木塊運動時繩在滑輪上不產生滑動,則木塊的加速度 a 為 (A) (B) (C) (D) 。
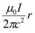
9. 如圖,內徑 b、外徑 a 之中空圓柱,與半徑 c 之實心圓柱形成同軸 結構,此兩圓柱有大小相同但方向相反之電流 I,真空磁導率 μ0, 則在距軸心 r 處(c<r<b)之磁場為 (A) (B) 0(C) (D) 。
10. 如圖,一均勻扇形薄板,半徑為 R,張角為 2θ,則其質心位置 與圓心之距離為 (A) R(B) R (C) R (D) R 。
11. 如圖,一光滑半球體固定於地面,半徑為 R,在最高點有 一物原本靜止,因受一極小推力而開始滑動,若物在距地 h 時恰離開球面,則 h 為 (A) R (B) R (C) R (D) R 。
12. 有一半徑為 R 之均勻帶電絕緣體球,總電量 Q,現挖一通過圓心之細長通道,通道口有 一質量 m、帶電-q 之電荷由靜止釋放,靜電力常數 k,則電荷在通道中作簡諧運動之週 期為 (A) (B) (C) (D) 。
13. 一線圈在一均勻磁場中作等角速度轉動,其轉軸垂直於磁場。自線圈面垂直於磁場起經 1/2 週期的期間內,其平均感應電動勢為 ε 1 ,而其最大感應電動勢為ε 2 ,則 為 (A) (B) π (C) (D) 。
16. 一球殼內外半徑為 a 和 b,內外表面之溫度為 Ta 和 Tb,則球殼的熱流率 為 (A) (B) (C) (D) 。
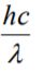
17. 一質量 m 之放射性粒子,放出一波長為 λ 之光子後(普朗克常數 h,光速 c),其內能減少 (A) (B)(C)(D) 。
18. 如左下圖,斜面之傾斜角 37o,一物自斜面底端向上斜拋,初速與斜面夾角 θ,若物體以 垂直斜面方向落於斜面上,則 tanθ 為 (A) (B) (C) (D) 。
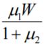
19. 如右上圖,重 W 之均勻木棒靜止斜靠在鉛直牆與水平地面之間,若棒與牆之靜摩擦係數 為 μ1,棒與地面之靜摩擦係數為 μ2,在 θ 角達最小時,棒與牆之摩擦力為 (A) (B) (C) μ1μ2W (D) 。
20. 兩點電荷各自帶電 Q,質量皆為 M,靜止地被固定在相距 R 的位置上。若同時釋放兩點電 荷,使其能自由運動,試問當兩者間距為 R/2 時,此兩個點電荷的相對速度為多少?(已 知庫倫靜電力常數為 K) (A) (B) (C) (D)
24. 有一活塞內裝有 n 莫耳的滿理想氣體,若該氣體進行等溫膨脹(溫度固定為 T),其體積由 V 膨脹為到 5V 時,試問該活塞對外作功 W=? (已知理想氣體常數=R) (A) (B) (C) (D)
25. 波爾的氫原子模型中,量子數為 n 的電子能階 En=? (已知庫倫靜電常數=K,普朗克常數 =h,電子帶電量=e,電子質量=m) (A) (B) (C) (D)
26. 如下圖所示,有一質量 200 g 的子彈以速度 150 m/s 射入靜止的木球 A 後停留在其中, 木球 A 接著在光滑無摩擦桌面上運動後碰到靜止的木球 B 進行完全彈性碰撞。已知木球 A 質量為 400 g,木球 B 質量為 600 g,試問最後木球 A 與木球 B 的相對速度為多少? (A) 120 m/s (B) 50 m/s (C) 150 m/s (D) 180 m/s
27. 如下圖所示,有一團質量為 M 的泥巴自由落下高度 H 後,與固定在彈簧自由端的平板(質 量亦為 M)結合。已知彈簧的彈力常數為 k,重力加速度為 g,彈簧質量不計,試問彈簧 的最大壓縮量 Δx=? (A)(B)(C)(D)
28. 承上題,在不考慮空氣阻力的情況下,自質量為 M 的爛泥巴開始自由落下,到彈簧達到 最大壓縮量時,共費時 Δt=? (A) (B) (C) (D)
29. 如左下圖所示,有質量為 5M 及 M 的小鋼球分別自一質量 10M,半徑 R 的半球形碗的兩 端自由滑下(摩擦力不計)。假設鋼球體積幾乎為零,且半球形碗置放於無摩擦之桌面上。 試問自鋼球開始自由滑下,到碰撞前瞬間,該半球形碗移動距離為多少? (A) R/4 (B) R/2 (C) 2R/3 (D) 3R/8。
30. 如右上圖有一錐形實心金屬導體,兩側分別為半徑=a 和半徑=b 的圓,長度為 L。已知(a < b)該金屬的電阻率為 ρ,試問若有電流自左側流向右側時,其電阻大小 R=?(A)(B)(C)(D)
1. 請寫下您在講台上如何講解本題,包含詳細的板書及您要提醒學生的觀念等。(7 分) 如圖,質量 m 之木塊放在一質量 M 之光滑斜面上,若木塊下滑時斜面仍保持靜止,則斜面 與地面間之靜摩擦係數至少應為__________。