所屬科目:教甄◆物理科專業
3.0 一汽車以固定速率通過水平面上的圓形彎道,如圖。已知圖 中 Fair 代表空氣阻力,則圖中哪個力代表地面施於汽車的水 平力?(A) FA (B) FB (C) FC (D) FD (E) FE 。____________。
17.0 半徑為 R 的圓線圈在均勻磁場 中轉動,線圈的角速度為 ω ,線 圈轉軸與磁場垂直,如圖。若線圈上的應電動勢 , 則角速度 ω 可表為下列何值? (A) (B) (C) (D) (E)
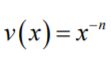
02.0 質量為 m 的質點做直線運動,其速度 v 與位置 x 的關係式為 ,n 為常數,則質點在位 置 x 0 處所受合力為何?____________。
04.0 如圖所示,一小方塊置於一圓柱內面,由底部跟著圓柱面相對靜止往上。 該圓柱的半徑為 2 公尺,且繞著一水平轉動軸旋轉,轉速固定且週期為 2π秒。若該方塊沿圓柱面可達之最高點與圓心的連線和鉛直的夾角為θ = 37°, 此後即發生相對滑動,若重力加速度 ,試求方塊與接觸面的 靜摩擦係數________________
05.0 如圖所示,一質量 m、半徑 R 的球,以初速 v 在一水平面上滑動,球與該平面間的動摩擦係 數為 μ,由於摩擦力的關係,球會開始轉動,並且滑動的速率會漸漸減小,在某一時刻,球會 停止滑動,開始純滾動。令地表的重力加速度為 g,球對通過球心的轉動軸之轉動慣量為 。 試求:球滑動的時間歷時多久?____________。
06.0 如圖所示,彈力係數 k 的輕彈簧兩端分別連接 m1 與 m2 的木塊。今讓 m1 與垂直牆壁接觸,但彈 簧處於原長,今在 m2 木塊處施加水平作用力,使得彈簧壓縮 L 的長度。今撤去此一作用力後, 求 m1 離開牆面後,最大速度大小為何?____________。
09.0 如右圖,水波槽內有 S1、S2兩同相振動的點波源,相距 4λ(λ 為波長), 沿方向前進第一次遇到節線的位置距 S2多遠?⊥ )___________
11.0 一極薄的平凸透鏡,焦距為 f,平面上鍍銀。今在其前方 2f 處放 一長為 y 的物體 (如右圖),則:求物的成像位置、像距大小。是 虛像還是實像?____________。
12.0 半徑為 R 的帶電絕緣球體,其體積電荷密度 ,r 為到球心的距離,則距離球心 處的電 場量值為____________。(以 c , R , ε0 表示)
13.0 如圖所示的電路,ε1 = 4.0 V,ε2 = 6.0 V,R1 = 3.5 Ω ,R2 = 1.5 Ω , R3 = 4.0Ω ,C = 2 × 10−9F。電池的內電阻可以忽略,平行板電容器 C 的板距為 2.0 mm。充電完畢後,充電電量為____________庫侖
15.0 光滑平行金屬軌道如圖所示,軌道水平部分(灰色區域)外加一鉛直向上的均勻磁場 B,軌道由 b 處開始到 c 處寬度為 3D,c 到 d 處寬度為 D。假設軌道夠長,將兩根相同的金屬棒 P、Q 分 別擺放如圖所示的位置,P 棒比水平軌道處高 h,今自由釋放 P 棒使其沿軌道下滑,若 P 棒來 到 c 處之前,Q 棒就已達終端速度。若重力加速度為 g,求 Q 棒的終端速度大小____________。
16.0 磁場的單位為 Tesla(T),實驗中常將磁場以電位(V)、長度(m)和時間(s)來表示 , 則 x,y,z 的值為何?____________。
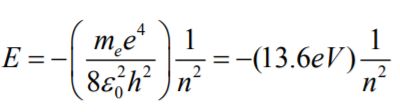
18.0 在氫原子模型中,當原子核靜止不動時,則氫原子能階,me 為 電子質量。考慮由電子與正子組成的原子,則此原子基態能量為____________ eV 。