所屬科目:教甄◆數學專業
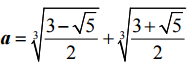
1. 設,則之值為 (A) 34 (B) 36 (C) 38 (D) 40。
2. 設θ 為一銳角滿足 ,則tanθ = (A) (B) (C) 1 (D) 。
3. 設0 < < b a ,且a ,b 滿足及ab = 4 ,則 loga b的值為 (A) (B) (C) (D) 。
4. 滿足 的正整數數對( x , y )共有多少組? (A) 5 (B) 10 (C) 15 (D) 20。
5. 在坐標平面上, A 點坐標為( −1,0 ), B 點坐標為(1,0 ),點 P 是直線 x y + = 4上的 一個動點,則向量 長度的最小值為下列哪一個選項? (A) 4 (B) (C) (D) 。
6. 考慮滿足以下條件的正整數數對( x , y ): 。請問( x , y )共有幾組解? (A) 232 (B) 233 (C) 234 (D) 235 。
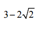
7. 試問 之值最接近下列哪一個選項? (A) 3 (B) 2.7 (C) 2.6 (D) 2.5 。
8. 箱中有 6 顆白球、 2 顆紅球、 2 顆黑球和 2 顆綠球,今由箱中每次取 1 球, 取後不放回,取完為止。若每顆球被取到的機會均等,則白球最先取完的機率為何? (A) (B) (C) (D)。
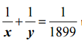
9. 已知a ,b ,c ∈ N ,且滿足 ,求 可能的值為(A) 17 (B) 18 (C) 20 (D) 22。
10. 有二維數據如右表,已知Y 對 X 以最小平方法所得 的迴歸直線方程式為 ,X 的標準差為σ X, Y 的標準差為σ Y , X 與Y 的相關係數為r ,請選出正確選項。 (A) b > 5 (B) a< b (C) (D) r = 0.3。
11. 已知圓內接 ∆ABC 中, 。若∠A 的平分線分別交 BC 弦與 BC 弧 於 D 、 E 兩點,則下列哪些選項是正確的? (A) (B) (C) (D) 設 P 為 BEC 弧上的一個動點,則長的最大 值為 。
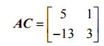
12. 設 A , B ,C 均為二階方陣,且其各矩陣中的所有元均為整數,若滿足, ,試求矩陣 A 可能為下列何者?(A) (B) (C) (D)。
1. 設級數,求 = _____________________________ 。
2. 四邊形 ABCD ,已知∠ =120 A , B 和 D都是直角, =13, = 46 ,試求 =____________________。
3. 空間中,A ( 4,−4,4 )、B ( 2,0,0 )、C ( −1,0,−3 )、D四點同在一平面 E 上,若 ABCD 為一等腰梯形且 ,求 D點坐標為__________________ 。
5. 求值: ___________________ 。
6. 在空間中,設球體 ,球體 。 若 S1和 S2 的交集區域為T ,則區域T 的體積為 ______________ 。
7. 設 z 為複數,若| z| = 2 ,則 的最小值為 ________________ 。
8. 將拋物線沿著平行移動,使其與直線相切,請問移動後的 拋物線方程式為_______________________。
9. 設 P 為直線上一點,Q 為雙曲線一支Γ : 上一點,求 最小值= _____________________ 。
(1) 若 ,則正整數m 之值為何?(2 分)
(2) 請證明存在某一正整數m 滿足:。(6 分)
2. 平面上∆ABC 為一個三角形, ,∠A 的內角平分線交 於 D,證明:。
(1) 若函數的圖形上存在點 P,使點 P 處的切線與 x 軸平行,求實數a,b 的關係式。 (4 分)