所屬科目:通訊系統
一、⑴試比較殘邊帶調變(VSB)和雙邊帶抑制載波調變(DSB-SC)兩系統的相對優點。
⑵試說明在干擾情況下,AM 接收器的臨界效應(threshold effect)。
⑶試說明為何在 FM 廣播系統中須使用預強調(pre-emphasis)及解強調(de-emphasis) 兩技術?
⑴試說明在基頻類比調變方式中,包括 AM、FM、PAM 以及 PCM,那一種調變方式可有效的犧牲頻寬(bandwidth, BW)來換取信雜比(signal-to-noise ratio, SNR) 之提升?
⑵試說明在 BPSK、QPSK、8-PSK、8-QAM、16-PSK 以及 16-QAM 之數位調變方式 中,那一種調變方式占據最小之通訊鏈路頻寬?又那一種調變方式可以容忍通訊 鏈路中較大之相位誤差?
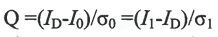
⑴定義 Q-參數為偏離中間值之信號振幅與雜訊偏差之比值:。 在最佳門限值之下,請申論位元錯誤率(bit-error-rate, BER)與 Q-參數之函數關係及其所代表之物理意義。
⑵當檢測信號值為 I1= 與 I0=0,感測係數 R 為檢測器輸出對輸入信號之比值, 為接收機靈敏度(sensitivity),請詳述 理意義。Prec 與 Q-參數之函數關係及所代表之物
⑴試求 s(t)的匹配濾波器的脈衝響應,並繪出其響應圖。
⑵試求這個匹配濾波器的輸出信號,並繪出其信號圖。
⑶承題⑵中輸出信號的峰值為何?
⑴取決於展頻序列碼 與解展頻序列碼 之正交特性及相互匹配與否,請詳述傳輸 之數據信號如何得以完整且安全地被擷取出來?
⑵為了達成上述網路數據傳輸之安全性,那些因素必須適當地被考慮?