所屬科目:高中(學測,指考)◆數學
1. 下列何者最可能是以下圖形的方程式? (A)(B)(C)(D)(E)
2. 設 A,B,C是三組資料,其散布圖由左至右排列如下:若 A組資料與 B 組資料的相關係數分別為 0.7 與 0.3,則下列何者最可能是 C 組資料的相關係數? (A) 1 (B) 0.8 (C) 0.5 (D) 0.2 (E) 0
3. 若坐標平面上三點 A(a,4) , B(2b,1),C(2c,7) 滿足a2+b2+c2=9,則三角形ABC重心的x坐標之最大值為多少? (A) (B)(C) 3 (D) 9 (E) 27
4. 下列哪一個選項的圖形最有可能是函數的部分圖形? (A) (B) (C) (D) (E)
5. 如圖所示,平面上有 6 個點,若其中恰有 4 點共線,其餘任 3 點都不共線,則隨機選取 3 點能形成一個三角形頂點的機率為何? (A) (B) (C) (D) (E)
7. 如圖所示, A,C為二次函數 y=4x-2x2上的兩相異點,B,D 為直線 y=x 上的兩相異點。若 ABCD 為正方形,且點 A 的坐標為 (a,b),則 a+b的值為下列何數? (A)5(B)(C)(D)(E)
8. 若的三邊邊長分別為 a,b,c,請選出必為正數的選項。 (A) sinC(B) cosC(C) a+b-c(D) a2+b2-c2(E) tanC
9. 設的整數部分為 a ,小數部分為 b 。請選出正確的選項。 (A) (B)a=1(C) (D) (E)
10. 正立方體 ABCD-EFGH 的稜長為 1,如圖所示,在此正立方體的 8 個頂點中任選3 個相異的頂點圍成一個三角形。關於這些三角形,請選出正確的選項。(A) 可圍成的三角形共有 56 個 (B) 可圍成的三角形中,有 36 個為直角三角形 (C) 可圍成的三角形中,最大面積為(D) 可圍成的三角形中,面積最大者為銳角三角形 (E) 可圍成的三角形中,最小面積為 1
11. 設三次實係數多項式 f(x) 除以 x-1,x-2,x-3所得餘式分別為 1, 2, 4,且令二次多項式。請選出正確的選項。 (A) (B) f(5)=g(5)(C) f(x) 除以x-4的餘式為 7 (D) f(x) 除以 (x-1)(x-2) 的餘式為 x (E) f(x) 除以 (x-1)(x-2)(x-3) 的餘式為 g(x)
12. 設 O(0,0,0)、A(1,0,0)、B(0,2,0)、C(0,0,3)為坐標空間中四點。請選出正確的選項。 (A) (B) (C) (D) (E) 的面積為 7
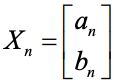
13. 某高中根據歷屆學生的成績記錄,得到下列的結論:該校每一屆的學生,在這個學期數學成績及格者,有 80%的比例在下一個學期數學成績也會及格;這個學期數學成績不及格者,有 60%的比例在下一個學期數學成績會及格。某一屆學生在校三年學生總數固定,假設在校期間第 n個學期及格的比例為an ,不及格的比例為bn , 令, 且 Xn+1=AXn。請選出正確的選項。 (A)(B) 某一屆學生在高一上學期有 90%的學生數學成績及格,則此屆學生在高一下學期數學成績及格比例為 78% (C) 從高一下學期起,這個學校學生的數學成績及格比例恆大於 0.5 (D) 這個學校每一屆學生從高一到高三的數學成績及格比例會越來越低 (E) 若某一屆學生在高中六個學期內,每學期的數學成績及格比例要維持不變,則高一上學期的數學成績及格比例必須為 0.75
A. 用木棒依照下列的規則排成若干圖形,在圖 1 中,用 3 根木棒;圖 2 中,使用 了 7 根木棒;圖 3 中,需要 12 根木棒,⋯⋯,依此類推。則圖 10 需 ⑭⑮ 要根木棒。
B. 小明在作幾何圖形時,不小心沾到油漬,除的長度無法得知外,其它的長度為 ,如下圖所示。則的長為 ⑯ 。
C. 若圓通過O(0,0),A(3,0),B(0,k) 三相異點,且過點O的切線斜率為 2,則k=。
D. 設集合 A={(a,b,c)| a,b,c 為正整數且a+b+c= 12} 。在 A中每一序對被抽中的機率均等的條件下,從 A 中隨機抽取一序對 (a,b,c),發生 a<b<c的機率為。(以最簡分數表示)
E. 若 O 為平面坐標上的原點,且 A(1,0),B(1,2),C(4,8),D(4,0),則區域與四邊形 ABCD 內部重疊部分的面積為 ㉓ 。
G. 風力發電機的葉片是垂直裝置於旋轉軸上,設此旋轉軸為直 ,如圖所示。若葉片上有一點P(4,1,-2)經旋轉後,軌跡是一個圓,則此圓所在的平面方程式為 ㉗ x-2y+ ㉘ z= ㉙ 。