所屬科目:高中◆資優◆數學
1. 已知 ,求 (x, y) =__________。
8. 擲一個公正骰子三次,所擲出的點數依序為 a、b、c,則使得函數
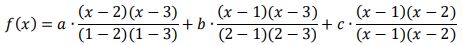
10. 已知 f (x ) = ax 2 + bx + c,且 ,求 f (11) =__________。
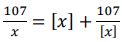
11. [x ] 表示等於或小於 x 的最大整數(例如:[3.9] = 3,[6] = 6)。 若正實數 ? 不為整數且滿足 x + ,則 x =__________。
12. 如右圖,點 E、F 分別為長方形 ABCD 邊上的點,已知 △ ABE 的面積為 24,△ ECF 的面積為 6,△ FDA 的面積為 8,求矩形 ABCD 的面積為 __________。
13. 如下圖,已知等腰 △ ABC 中 ,圓 O 為 △ ABC 的內切圓,為邊上的高,點 E 為 與圓 O 在 △ ABC 內 部的交點。延長交 於點 F ,若 與 垂直,且 圓 O 的半徑為 1,則 =__________。 ̅̅̅̅
14. 如下圖,長方形 ABCD 中,= 2,P 為在上的 動點,連接並將其延長,交 於 E,欲使 △ PDE 與 △ CBP 兩者面積和最小,此時=__________。
15. 如右圖,△ ABC 為正三角形,D、E、F、G、H、I 分別為邊上的三等分點,連得一個三角 形 △ PQR。已知 △ PQR 的面積 = 1,求 △ ABC 的面積為 __________。
16. 如下圖,半徑為 5 的圓內有兩弦,兩弦長度皆為 8 。設點 P 在 上,點Q在上,點 R、S 在圓上,且 PQRS 為正方形,求此正方形邊長為 __________。
17. 如下圖,分別以 A、B、C 為圓心, 1、2、3 為半 徑的三個圓都在直線 L 的同側,分別與直線 L 切於 A′、B′、C′ ,且點 B′ 在點 A′ 與 C′ 之間,若圓 B 分別與圓 A 和圓 C 外切,則 △ ABC 的面積為 __________。
19. 已知 P = ,求 P 的最小值為 _________。