所屬科目:高中◆資優◆數學
1. 已知a為二次方程式3x2-2x-663=0的一個解,試求的值。
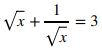
2. 設 x > 0,且,試求的值。
3. 已知實數 a,b,c 滿足 a ≥ 0,b ≥ 1,c ≥ -1 以及 a+4b + c + 3 =,試求 a+b+c的值。
5. 有一個填符號遊戲,只要在最下層的O中填入符號「+」或「-」,則上層中所有的O就會自動顯示符號「+」 或「-」其中之一。規則如下:(1) 若相鄰的兩個O中符號相同,則上面的O顯示「+」,如圖一所示(2) 若相鄰的兩個O中符號不同,則上面的O顯示「-」,如圖二所示在圖三中,若要使得最上層的O中顯示「+」,則最下層有多少種填法?
6. 將正整數1,2,3,4,5,6,7,8,9,10,…依下列規則排列,若將橫排稱為列,直排稱為行,我們可以用列與行來描述某個正整數的位置。例如:第2列第3行的數字為9。若2023在第m列第n行,試求數對(m,n)。
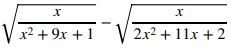
7. 如右圖,以為直徑作半圓,O為圓心,C為中點。為圓O的切線,,若D為此半圓上的一點且,試求的長。
8. △ABC中,,I為△ABC的內心,過I作平行的直線分別交於D,E兩點,試求 的長。
9. 在直角三角形△ABC中,∠A = 90°,= 13,= 12。已知存在一圓,其圓心落在線段上,該圓通過點A,且與線段相切,試求此圓的面積。
10. 已知銳角三角形△ABC的外心為O,線段的中點分別為M,N。假設∠ABC = 4∠OMN、∠ACB = 6∠OMN,試求角度∠OMN。
11. 在直角坐標平面上,O為原點,方程式3x-y=0所表示的圖形為直線L,點A的坐標為(0,3),點P在直線L上,若△AOP為等腰三角形,試求點P的坐標。(答案不止一解)
14. 等腰直角三角形△ABC中,∠A = 90°,點D落在邊上且=6、= 2 。四邊形DEFG為正方形,落在三角形△ABC內部,點F落在邊上,且。若,則正方形DEFG的面積為何?
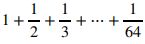
16. 說明S =不是一個正整數。(8%)