所屬科目:高中◆資優◆數學
1. 某人不宜多吃脂肪,但需要多吸收蛋白質以補充營養。根據附圖,何種食物對他比較適合? (A)白米(B)高筋麵粉(C)薏仁(D)甘藷
2. 如圖,四條直線圍成一個正方形,甲的方程式是x+y=4,請選出下列敘述何者正確? (A)直線甲的方程式是x+y=4,直線乙的方程式是x-y=-4 (B)直線乙的方程式是x-y=4,直線丙的方程式是x+y=-4 (C)直線丙的方程式是x-y=-4,直線丁的方程式是x+y=-4 (D)直線丁的方程式是x+y=4,直線甲的方程式是x+y=4
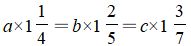
5. 如果a、b、c都是負分數,且,那麼a、b、c三數的大小關係為何? (A)a>b>c(B)c>b>a(C)a>c>b(D)c>a>b
6. 若,則甲、乙、丙的大小關係為何? (A)甲>乙>丙(B)丙>乙>甲(C)乙>甲>丙(D)乙>丙>甲
8. 一個保險箱的密碼是一個三位數,其個位數字為a、十位數字為b,百位數字為c,且a、b、c隱藏在700的質因數分解中,,則此密碼為何? (A)257(B)527(C)725(D)752
9. 小明、小傑背向著電線桿向前走,若小明向東方走,小傑向西方走。根據兩人的對話,小傑應該怎樣修正,才能走到正確的位置? (A)向北直走24公尺(B)向南直走12公尺(C)向東直走9公尺(D)向西直走20公尺
10. 樂透彩頭彩中獎機率約為五百萬分之一,表示成科學記號應為下列哪一個? (A)(B)(C)(D)
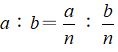
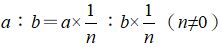
13. 下列何者正確? (A)a:b=am:bm(B)a:b=(a+m):(b+m)(m≠0)(C) (D)
小薰舉辦慶生會邀請親友來家裡聚會,如圖是她準備慶生會飲料的過程,試回答下列問題:19. 按照圖示,小薰當天準備的紅茶最多可裝滿多少個紙杯? (A)35(B)37(C)38(D)40