所屬科目:高中◆資優◆數學
1.如圖,長方形 ABCD 中, , E 在 上且 = 2 :1 , F 為 上一點滿足 ∠EFC = ∠DCF , 則 tan(∠AFE ) 為下列哪一個選項? (A) (B) (C) (D) (E)
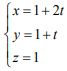
2.給定空間中四點 A(1, 2, 0) 、 B(2, 0,1) 、 C (0,1, 2) 、 D(9,5,1) 。設 ABC 的重心為 G 點、 BCD 的重心為 H 點,則下列選項何者正確?(A) G 點座標為 (1,1, -1) 。(B) 直線 的參數式為 , t 。(C) 直線 與直線 沒有交點。(D) 外積 = (1,1,1) 。 (E) 空間中滿足 的點 P 只有一個。
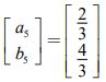
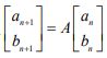
4.設 ,且矩陣 A 滿足 。已知矩陣 A 為轉移矩陣且矩陣 A 為不可逆。 若試選出正確的選項。 (A) α =δ 。 (B) γ = β 。 1 (C) α + β = 。 3 (D) α + δ = β + γ 。 (E) a1 + b1 = 2 。
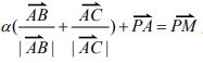
5.已知 P 點為 △ABC 內部一點,則下列敘述何者為真?(A) 存在正數 α 、 β 且 α + β > 1 ,使得 。(B) 若 = 0 且 = 0 ,則 = 0 。(C) 若 ,則 。(D) 若 ,則 △ABC 為銳角三角形。(E) 為 BC 中點,若存在正數 α ,使得 成立,則△ABC 為正三角形。
C.平面上有一個中心為 O 點, F1、 F2 為兩焦點的橢圓 Γ1 ,且 A 點為其短軸上其中一個頂點。另有一個以 O 點為焦點, A 點為頂點,且過 F1、 F2 的拋物線 Γ2 。已知 Γ1 與 Γ2 有 P 、Q、 A 三個交點,則 =___________。
D.△ABC 中,已知 M 為 中點,點 P、Q 分別在 上,且 , , ∠PMQ 90° 。 試求 cos A 的值為___________。