所屬科目:教甄◆數學專業
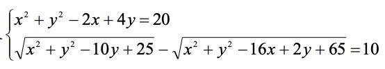
2. 設 x, y 均為實數,且,則有序對 (x, y) 有幾組? (A) 0 (B) 1 (C) 2 (D) 3 (E) 4 。
4. 在 ∆ABC 中, ∠C = 3∠A, AB = 48, BC = 27 ,則 AC = ? (A) 33 (B) 35 (C) 37 (D) 39 。
3. 已知實數 a,b,c 滿足條件 a=√2+b且 2ab+2√2c2+1=0 ,試問下列何者正確?
4. a,b,c 為不相等的實數, a2 + b2 + abx = b2 + c2 + bcx = c2 + a2 + cax ,則下列選項何者正確? (A)有 x = -2 的解 (B) x =1 時必有 a + b + c = 0 (C) a + b + c = 0 時有 x =1 的解 (D) a + b + c ≠ 0 時 x = -2 (E) a + b + c = 0 時 x 為任意實數; a + b + c ≠ 0 時 x = -2 。