所屬科目:高中(學測,指考)◆數學
1. 點 A (1,0)在 單 位 圓Γ:上。試 問:Γ 上除了 A 點 以 外,還 有 幾 個 點 到 直 線 的 距 離 , 等 於 A 點 到 L 的距離? (A) 1 個 (B) 2 個 (C) 3 個 (D) 4 個(E) 0 個
2. 下 列 哪 一 個 選 項 是 方 程 式 的 解 ? ( 註 : i = ) (A) -2i (B) -i (C) i (D) 2(E) 4
3. 試 問 共 有 多 少 組 正 整 數, 滿 足? (A) 1 組 (B) 2 組 (C) 3 組 (D) 4 組(E) 0 組
5. 設正實數 b 滿 足 。 試 選 出 正 確 的 選 項 。 (A) (B) (C) (D) (E)
6. 某 超 商 依 據 過 去 的 銷 售 紀 錄,冬 天 平 均氣溫 在 6℃到 24℃時,每日平 均 售出的 咖 啡 數 量 與 當 天 的 平 均 氣 溫 之 相 關 係 數 為 -0.99 , 部 分 紀 錄 如 下 表 。某 日 平 均 氣 溫 為 8℃, 依 據 上 述 資 訊 推 測 , 試 問 該 日 賣 出 的 咖 啡 數 量 應 接近下 列 哪 一 個 選 項 ? (A) 570 杯 (B) 625 杯 (C) 700 杯 (D) 755 杯(E) 800 杯
7. 設 各 項 都 是 實 數 的 等 差 數 列之 公 差 為 正 實 數 α 。 試 選 出 正 確 的 選 項 。 (A) 若 , 則 (B) 若 , 則 (C) 若 , 則 是 公 差 為 α 的 等 差 數 列 (D) 若, 則 是 公 差 為 α +1 的 等 差 數 列 (E) 若 為 的 算 術 平 均 數 , 則是公差為 α 的 等 差 數 列
9. 從 1, 2, 3, 4, 5, 6, 7 這 七 個 數 字 中 隨 機 任 取 兩 數 。 試 選 出 正 確 的 選 項 。 (A) 其 和 大 於 10 的 機 率 為 (B) 其 和 小 於 5 的 機 率 為 (C) 其 和 為 奇 數 的 機 率 為 (D) 其 差 為 偶 數 的 機 率 為 (E) 其 積 為 奇 數 的 機 率 為
10.在△ABC 中 , 已 知 。 試 選 出 正 確 的 選 項 。 (A) (B) (C) (D) (E)
11. 某 地 區 衛 生 機 構 成 功 訪問了 500 人,其 中 年 齡 為 50 - 59 歲 及 60 歲( 含 )以 上 者 分 別 有 220 名 及 280 名。這 500 名 受 訪 者 中, 120 名 曾 做 過 大 腸 癌 篩 檢,其 中 有 75 名 是 在 一 年 之 前 做 的,有 45 名 是 在 一 年 之 內 做 的。已 知 受 訪 者 中, 60 歲( 含 )以 上 者 曾 做 過 大 腸 癌 篩 檢 比 率 是 50 - 59 歲 者 曾 做 過 大 腸 癌 篩 檢 比 率 的 3.5 倍。試 選 出 正 確 的 選 項 。 (A) 受 訪 者 中 年 齡 為 60 歲 ( 含 ) 以 上 者 超 過 60% (B) 由 受 訪 者 中 隨 機 抽 取 兩 人,此 兩 人 的 年 齡皆落在 50 - 59 歲 間 的 機 率 大 於 0.25 (C) 由 曾 做 過 大 腸 癌 篩 檢 的 受 訪 者 中 隨 機 抽 取 兩 人,其 中 一 人 在 一 年 之 內 受 檢 而 另 一 人 在 一 年 之 前 受 檢 的 機 率 為 (D) 這 500 名 受 訪 者 中 , 未 曾 做 過 大 腸 癌 篩 檢 的 比 率 低 於 75% (E) 受 訪 者 中 60 歲 ( 含 ) 以 上 者 , 曾 做 過 大 腸 癌 篩 檢 的 人 數 超 過 90 名
12.設 為 實 係 數 三 次 多 項 式 ,為 實 係 數 二 次 多 項 式 。 已 知 除 以的 餘 式 分 別 為 。 試 選 出 正 確 的 選 項 。 (A) 除 以 g (x) 的 餘式為 (B) 除 以 g(x) 的 餘式為(C) 除 以的 餘式為(D)除 以 -3 g(x) 的 餘式為 (E)可 被 g (x)整 除
A. 設 x y, 為 實 數 , 且 滿 足, 則
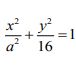
B. 如 圖 ( 此 為 示 意 圖 ),是橢圓 的 頂 點 。 若 四 邊 形 ABCD 的面積 為 58 , 則 。( 化 為 最 簡 分 數 )
C. 某 高 中 已 有 一 個 長 90 公 尺、寬 60 公 尺 的 足 球 練 習 場。若 想 要 在 足 球 練 習 場 的 外 圍 鋪設內 圈 總長度為 400 公尺的跑道,跑道規 格 為左右兩側各是直徑相同的半 圓,而 中 間 是 上 下 各 一 條 的 直 線 跑 道,直 線 跑 道 與 足 球 練 習 場 的 長 邊 平 行( 如 示 意 圖 )。 則 圖 中 一 條 直 線 跑 道 長 度 的 最 大 可 能 整數值為公尺。
D. 某 次 選 舉 中 進 行 甲、乙、丙 三 項 公 投 案,每 項 公 投 案 一 張 選 票,投 票 人 可 選 擇 領或不領 。 投 票 結 束 後 清 點 某 投 票 所 的 選 票 , 發 現 甲 案 有 765 人 領 票 、 乙 案 有 537 人 領 票 、 丙 案 有 648 人 領 票 , 同 時 領 甲 、 乙 、 丙 三 案 公 投 票 的 有 224 人,並 且 每 個 人 都 至 少 領 了 兩 張 公 投 票。根 據 以 上 資 訊,可 知 同 時 領 甲、乙 兩 案 但 沒 有 領 丙 案 公 投 票 者 共 有 人 。
(E)如 圖( 此 為 示 意 圖 ),在 △ABC 中, 交於 D 點, 交 於 E 點,且, , 。 若 , , 則 。
F. 坐標空間中,考慮有一個頂點在平面 z = 0 上 、 且 有 另 一 個 頂 點 在 平 面 z =6 上 的 正 立 方 體 。 則 滿 足 前 述 條 件 的 正 立 方 體 之 邊 長 最 小 可 能 值 為 。 ( 化 成 最 簡 根 式 )
G. 如 圖( 此 為 示 意 圖 ), 為 平 面 上 的 四 個 點。已 知 兩 向 量 等 長 且 互 相 垂 直 , 則 tan∠BAD=。