所屬科目:測量平差法
一、已知觀測向量 L = [x y z ]T 的方差-協方差矩陣為 試求 L 的函數 F = x 2 + z1/2 在 x=12、z=14 時的協方差 ∑ FF 。(25 分)
二、A、B 為地面上兩點,以直接水準測量方法,經由三條不同路線測量 A 與 B 之高程差,有關觀測數據如下表所示;試求 A 與 B 間高程差之加 權平均值及其標準差。(25 分
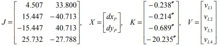
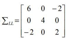
四、下圖所示為一個測角的前方交會問題,圖中 A、B、C 為已知點(單位:m) , P 為待定點;4 個角度為等權觀測,P 點的近似坐標為 xP0 = 6861.35 m 、 y P0 = 3727.59 m 。經過線性化的觀測方程式為 JX=K+V: 試以最小二乘法間接觀測平差法,求 P 點的坐標平差值 ( x P , y P ) 及其標 準差。 (25 分)