所屬科目:技檢◆電力電子-甲級
14. 下圖所示電路中,RC 電路為避免 SCR 發生(A)過大電流變化率(B)過大電壓變化率(C)過電流(D)過電 壓。
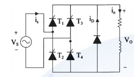
17. 下圖所示電路中,i O 電流為連續,若正負半波對稱觸發且(T1、T4 )及(T2、T3 )成對導通,則 i D 波形 為何?(A) (B) (C) (D) 。
18. 下圖所示之電路,其中 R2 之功能為何?(A)保護 SCR2 之閘極(B)保護 SCR1 之閘極(C)限制負載電流 (D)吸收湧浪電壓。
19. 下圖之電路中之 V1 為多少伏特?(A)8(B)1(C)2(D)4。
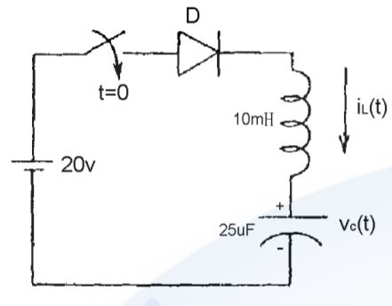
23. 如下圖所示,二極體為理想特性,若開關 在時間 t=0 時導通,且電感的電流初值為零,則 的響 應為何?(A) (B) (C) (D) 。
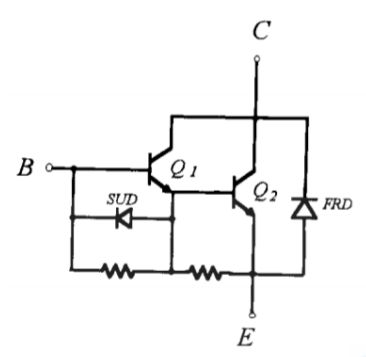
25. 下圖所示電路中,達靈頓功率電晶體(Darlington's Power Transistor)之二極體 SUD 功能為(A)+IB 2 之 旁路(B)漏電流之旁路(C)-I B 2 之迴路(D)提升功率電晶體之耐壓。
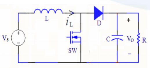
28. 下圖所示電路為(A)昇壓-降壓截波器(B)昇壓截波器(C)降壓截波器(D)變頻器。
30. 下圖所示之直流截波器(DC Chopper),當 E1=100V、E2=75V,交換(switching)週期為 10ms 時, 則 S 開啟(ON)時間應為多少?(A)3.5ms(B)2.5ms(C)7.5ms(D)5.5ms。
32. 如下圖所示,二極體為理想特性;若Vs =100sin377tV,則輸出電壓 的平均值為何?(A)63.6V(B)10 0V(C)70.7V(D)31.8V。
33. 下圖所示電路中,電流為連續 i O,若正負半波對稱觸發且(T1、T4 )及(T2、T3 )成對導通則 i S 波形為 何? (A) (B) (C) (D) 。
35. 下圖所示電路中,開關接通瞬間電流上昇率 為(A)50(B)1000(C)100(D)2000 A/s。
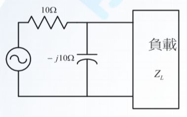
36. 下圖所示電路,欲使負載能吸收最大功率其負載阻抗 ZL 為多少 Ω?(A)5+j5(B)5-j5(C)2.5-j2.5(D)2.5+j 2.5。
38. 下圖電路中,熱敏電阻之作用為何?(A)不被光線照射時,點亮燈泡(B)被光線照射時,點亮燈泡(C)作 溫度補償(D)防止突波電流。
39. 下圖所示之電路,Vab 應為多少伏特?(A)8V(B)5V(C)5.5V(D)4.5V。
41. 一直流升壓式轉換器之電路如下圖所示,設電路由理想元件組成,並操作於穩定狀態。若開關切換 頻率為 100kHz,VS=10V,V O=20V,R=4Ω,則平均電感電流為多少 A?(A)5(B)1.25(C)10(D)20。
43. 如下圖所示之單相全波全控雙整流器電路,若輸入電壓為 VS1(t)= VS2 (t)=Vs(t) =400sin(377t)V、 閘流體均為理想、R=10Ω、LF=50mH、編號 1 整流器觸發角 α1=60°、編號 2 整流器觸發角 α2 =120°,求一號整流器的輸出平均電壓 V O1(avg) 為多少?(A)117V(B)97V(C)127V(D)107V。
45. 如下圖所示,二極體為理想特性;若開關 S1在時間 t=0 時導通,且電容 C1端電壓的初值為零,則電 容端電壓 的時間響應為何?(A) (B) (C) (D) 。
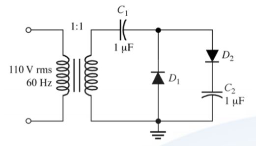
46. 如下圖所示,此功率轉換器為(A)push-pull converter(B)full-bridge converter(C)flyback converter(D)hal f-bridge converter。
48. 下圖所示電路中,a、b 兩端之等效電阻 Ra b 為多少 kΩ?(A)1.33(B)7(C)2.66(D)4.5。
52. 下圖所示之截波器電路中,輸入電壓 Vs=200V,切換頻率 f S=10kHz,若電晶體延遲時間 t d=0, 上升時間 t r=3μs,下降時間為 t f=1.2μs,且負載流 i=100A,則 LS 之值應為多少?(A)6μH(B)70 μH(C)0μH(D)80μH。
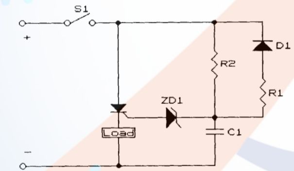
53. 下圖所示之電路,其中兩個 SCR 之功能為何?(A)觸發延遲電路(B)SCR2 對 SCR1 之強制換流電路(C) 並聯電路(D)SCR1 為主控開關,SCR2 為輔助觸發開關。
54. 下圖所示之電路,當其中的開關 S1 閉合(ON)之後,SCR 將如何?(A)瞬間導通(B)間歇導通(C)延遲導 通(D)截止導通。
55. 下圖所示之符號,為何種元件之圖示符號?(A)GTO(B)TRIAC(C)POWER MOSFET(D)IGBT。
56. 下圖所示之高通濾波器電路,當輸入正弦波之頻率恰等於此電路之-3dB 頻率時,則輸出波形之相 位比輸入波形為(A)落後 45°(B)領先 45°(C)領先 90°(D)落後 90°。
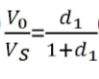
59. 試求下圖中 C2 電容的電壓為(A)110V(B)155V(C)220V(D)310V。
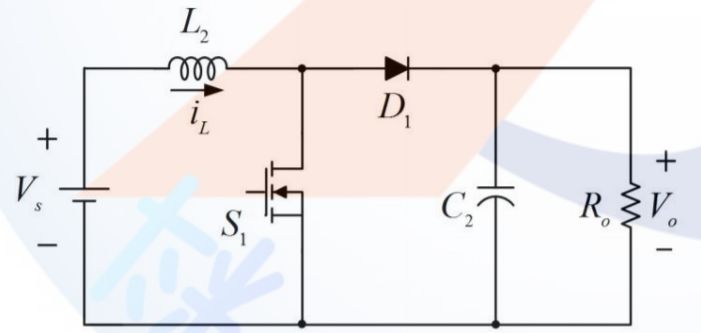
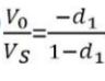
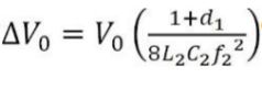
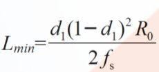
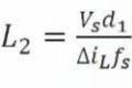
66. 下圖為昇壓型轉換器,若 f s 為 S 1 的切換頻率,d 1 為 S 1 導通的責任週期,ΔiL 為電感電流峰對峰值, 在電感電流連續操作之最小電感 Lm i n 及電感 L2 合理的設計值為(A) (B) (C) (D) 。
67. 下圖所示之導通-截止(on-off)控制之交流電壓控制器,電源 Vi (t)= 120sin (2π60t)V,RL=10Ω。 閘流體開關控制導通 25 個週期,截止 75 個週期,重複循環,下列哪些選項正確?(A)各閘流體電流 有效值約為 4.24A(B)電源側功率因數約為 0.866(C)負載端電壓有效值為 60V(D)負載端電壓平均值為 0 V。
68. 理想變壓器的極性標示如下圖之黑點,則下列敘述何者正確?(A)V1 /V2=-N1 /N2(B)V1 /V2=N1 /N2(C)I 1 /I 2=N2 /N1(D)I 1 /I 2=-N2 /N1。
73. 下圖為單相全控全橋整流電路,交流電源 Vs (t)=110 sin(377t)V,頻率為 60 Hz,含有交流側電 感 LS=1.5 mH,若負載為 I d=20A,激發延遲角為 30°,下列哪些選項正確?(A)直流側輸出電壓之 平均值 Vd 約為 79V(B)換向角度 u 約為 14°(C)電源端之電流平均值為 10A(D)含有交流側電感會提高直 流側輸出電壓。
76. 如下圖所示,一個三角波電流加入到電感器,則電感器上的電壓與瞬間功率波形,與下列哪些選項 近似? (A)電壓 (B)電壓 (C)功率 (D)功率 。
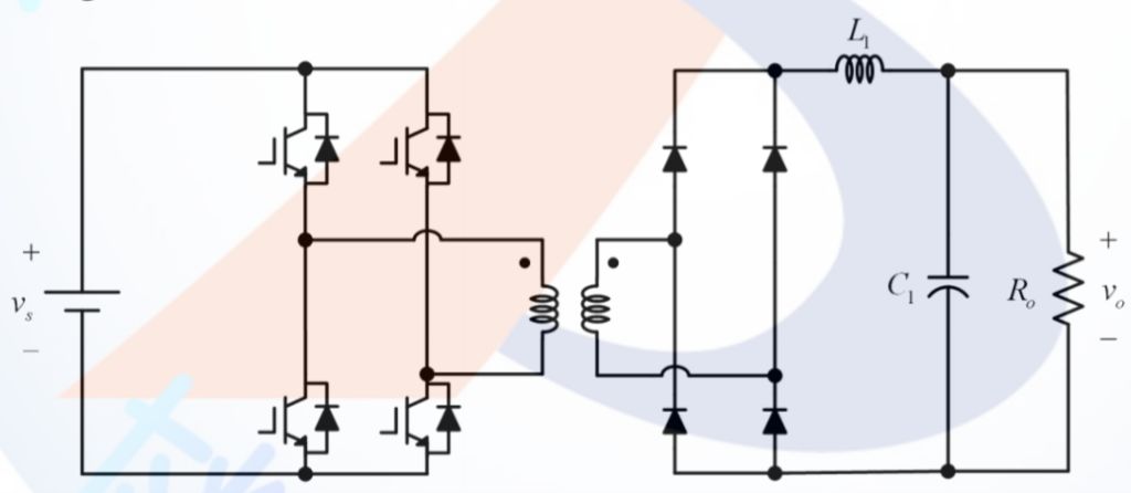
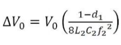
77. 下圖為邱克轉換器,若 f s 為開關元件的切換頻率,d 1 為開關元件導通的責任週期,則輸出電壓平均 值 VO 及電壓漣波峰對峰值 ΔV O,下列何者正確?(A) (B) (C) (D) 。
79. 有關被動符號慣例功率之敘述,下列哪些選項正確?(A)功率之單位為焦耳(Joule)(B)理想無損失電 路,負載吸收總平均功率不等於電源供應總平均功率(C) ,若 ,表示負載正在吸收 功率(D) ,若 ,表示電源正在供應功率。
80. 下圖所示之交流電壓控制器電路,電源 Vi (t)= 120sin (2π60t )V,純電阻性負載,閘流體 T 激發 延遲角調在 ,下列哪些選項正確?(A)電源側功率因數約為 0.866(B)負載端電壓有效值約為 1 04V(C)平均輸入電流 0A(D)負載端電壓平均值為 0V。