所屬科目:技檢◆電力電子-甲級
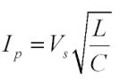
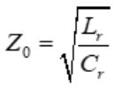
(A)自然頻率(naturalfrequency)為 (B)特徵阻抗(characteristic impedance)(C)品質因數(Quality Factor) (D)當輸入頻率等於自然頻率時,等效阻抗 Zp=R 。
(A)SCR (B)GTO (C)N-channel MOSFET (D)P-channelMOSFET 。
(A)0.333 (B)3.0 (C)0.5 (D)0.667 。
(A)300V (B)600V (C)900V (D)150V 。
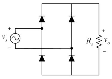
(A) (B)(C)(D)。
(A) (B)(C) (D)。
(A)(B)(C)(D)。
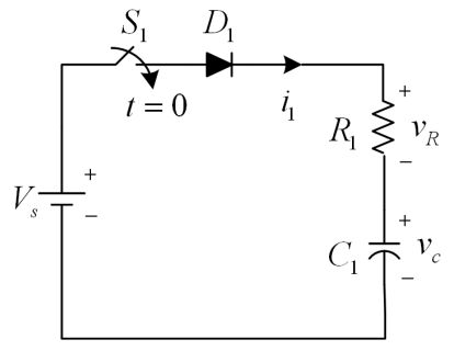
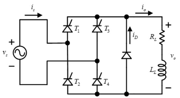
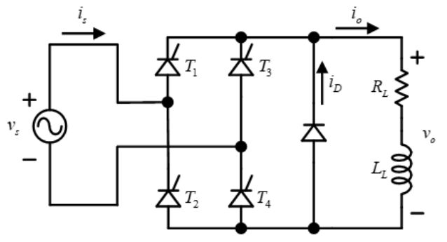
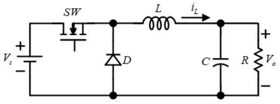
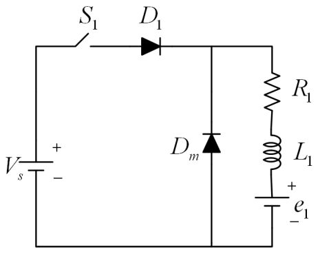
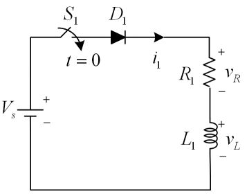
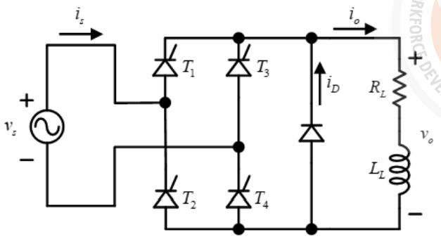
(A)做電感電流的飛輪使用 (B)做頻率控制用 (C)做電壓控制用 (D)做功率控制用 。
(A)(B)(C)(D) 。
(A)0V (B)3V (C)5V (D)10V 。
(A)10J (B)5J (C)1J (D)0.5J 。
(A) (B)(C)(D) 。
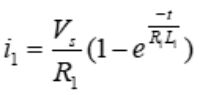
(A) (B)(C) (D) 。
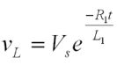
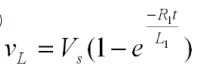
(A)20A (B)10A (C)2A (D)1A 。
(A)40mJ (B)20mJ (C)4mJ (D)2mJ 。
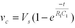
(A)(B) (C) (D) 。
(A) (B) (C) (D) 。
(A)100V (B)70.7V (C)63.6V (D)31.8V 。
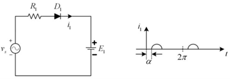
(A)α=20° (B)α=30° (C)α=45° (D)α=60° 。
(A)100V (B)80V (C)50V (D)40V 。
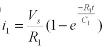
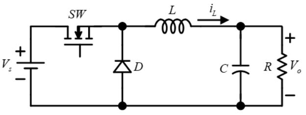
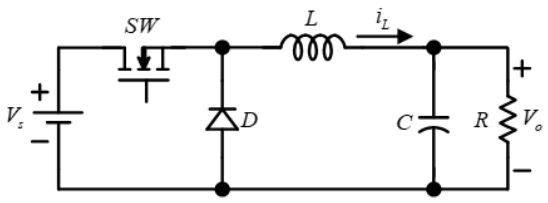
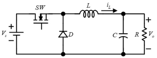
(A)降壓型直流功率轉換器(B)昇壓型直流功率轉換器 (C)具有雙向功率轉換 (D)直流-交流功率轉換器 。
(A)200V(B)100V (C)50V (D)25V 。
(A)79V (B)89V (C)99V (D)109V 。
(A)50V (B)80V (C)90V (D)120V 。
(A)97V (B)107V (C)117V (D)127V 。
(A)461V (B)561V (C)661V (D)671V 。
(A)612V (B)624V (C)635V (D)648V 。
(A)582V (B)604V (C)626V (D)650V 。
(A)833V(B)866V (C)900V (D)936V 。
(A)100 (B)90 (C)80 (D)70 。
(A)0.2 (B)0.28(C)0.36 (D)0.44 。
(A)0.12 (B)0.10 (C)0.08 (D)0.06 。
(A)4.7(B)10 (C)12 (D)12.5 。
(A)20 (B)25 (C)30 (D)35 。