所屬科目:技檢◆電力電子-甲級
(A)漣波因數約為 0.482 (B)波形因數約為 1.11 (C)二極體峰值逆向電壓為電源電壓最大值 (D)整流效率(rectificationefficiency)約為 0.707 。
(A)直流側輸出電壓之平均值 為 220V (B)線電流 之有效值 約為 8.2A (C)二極體峰值逆向電壓約為 310V (D)電源端的功率因數約為0.955 。
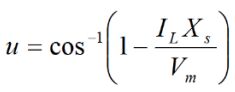
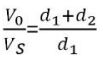
(A)換向角度 u 約為 14° (B)直流側輸出電壓之平均值約為 79V (C)含有交流側電感會提高直流側輸出電壓 (D)電源端之電流平均值為 10A 。
(A)漣波因數約為 0.182 (B)波形因數約為 1.02 (C)二極體峰值逆向電壓為相電壓最大值 Vm(D)整流效率(rectification efficiency)約為 0.81 。
(A)每一瞬間都有 2 個閘流體導通 (B)一個週期中每個閘流體導通 60° (C)負載的電壓平均值約為 562 V (D)輸出的電壓峰值約為 679V 。
(A)分為導通-截止(on-off)與相位控制(phasecontrol)兩種控制模式 (B)兩 SCR 分別導通時間若相同,電源與負載之電流平均值為 0 A (C)兩 SCR 可同時導通 (D)兩 SCR 分別導通時間若相同,則流過每個 SCR 之電流有效值為負載電流有效值的 倍 。
(A)負載端電壓有效值約為 104V (B)負載端電壓平均值為 0V (C)平均輸入電流 0A (D)電源側功率因數約為 0.866 。
(A)負載端電壓有效值為 60V (B)負載端電壓平均值為 0V (C)各閘流體電流有效值約為4.24A (D)電源側功率因數約為 0.866 。
(A)負載端電壓有效值約為 101V (B)負載端電壓平均值為 60V (C)輸出平均功率約為3054W (D)電源側功率因數約為 0.84 。
(A)(B)(C) (D)。
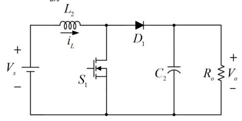
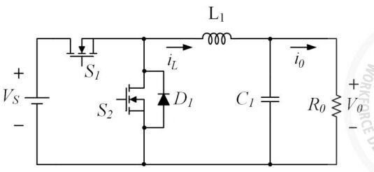
(A)S1及 S2同時導通或同時截止 (B)當 S1截止,則 S2延遲導通 (C)避免 S1及 S2同時導通,需加入空白時間(dead time) (D)二極體 D1的功能為 S1及 S2截止時,提供電感電流的傳導路徑 。
(A) (B)(C)(D) 。
(A)(B)(C)(D) 。
(A)(B)(C) (D) 。
(A)開關元件S1在零電流時切換 (B)開關元件S1在零電壓時切換 (C)諧振角頻率 (D)諧振角頻率。
(A)基本波振幅 (B)基本波振幅 (C)基本波振幅 (D)基本波振幅 。
(A)(B) (C) (D) 。
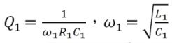
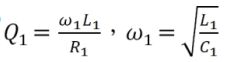
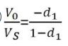
(A)電阻值R1大於 (B)電阻值R1小於(C)電阻消耗功率 (D)電阻消耗功率 。
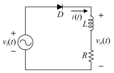
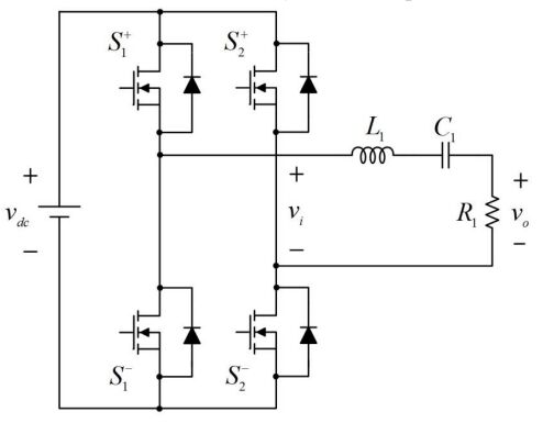
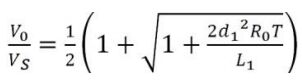
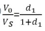
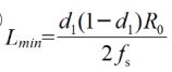
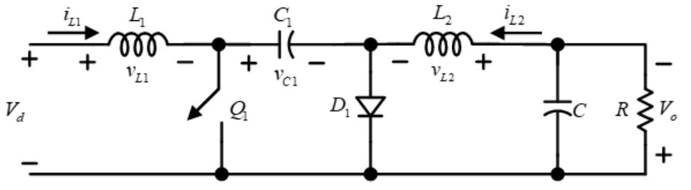
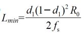
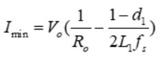
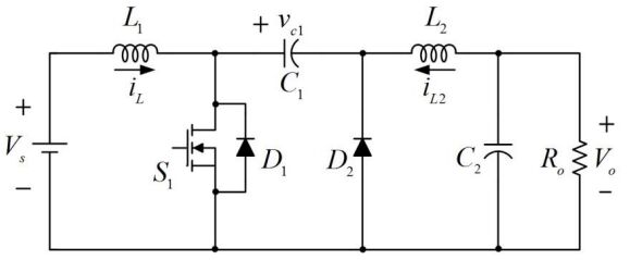
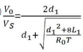
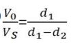
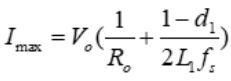
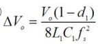
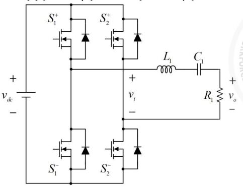
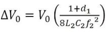
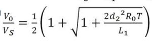
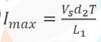
(A)L1電感值需大於 649μH (B)L2電感值需大於432μH (C)若不考慮電容器 C1之等效串聯電阻,則 C1需大於 17.8μF (D)若不考慮電容器 C 之等效串聯電阻,則 C 需大於 3.08μF 。
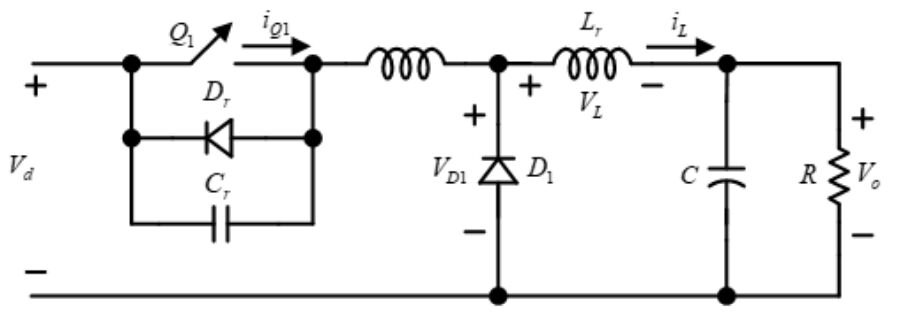
(A)該緩振器作用於開關 Q1 由截止狀態轉為導通狀態之期間 (B)該緩振器可改變電晶體 Q1上的電壓與電流波形 (C)C1 數值越大,Q1 上所消耗的功率越小 (D)當電晶體 Q1 導通時,電容器 C1 會透過電阻器 R1 放電 。
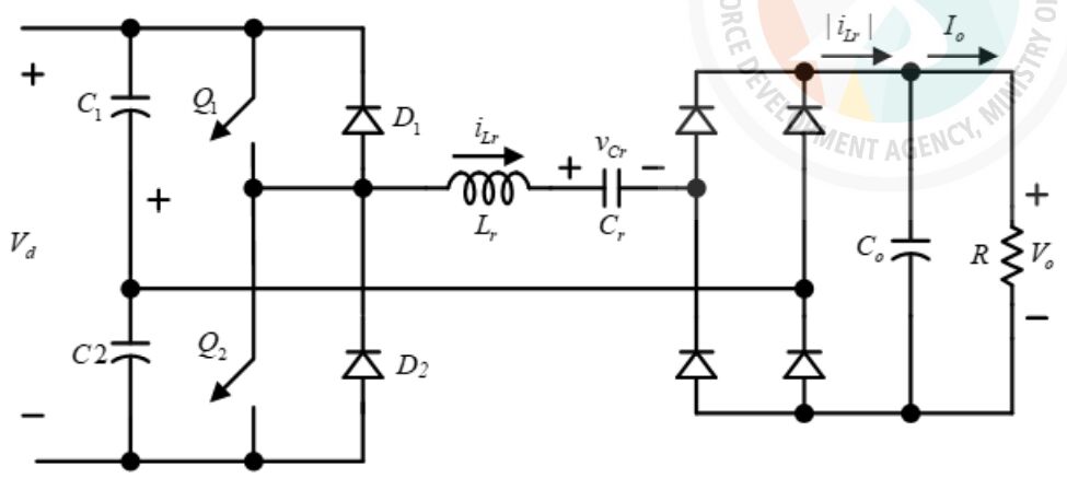
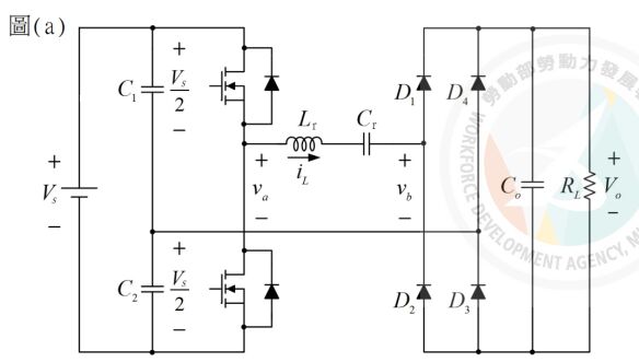
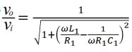
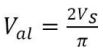
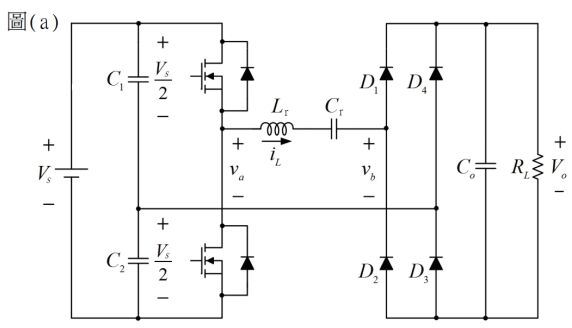
(A)切換頻率約為 363kHz (B)諧振頻率約為 4.61MHz (C)上的最大逆偏壓約為 40V (D)此諧振式電力轉換器可實現零電壓切換 。
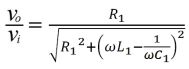
(A)諧振頻率約為 127kHz (B)輸出電壓約為 40.1V (C)諧振電感與諧振電容之阻抗分別約為 22.6Ω及 16.6Ω (D)此時轉換器之諧振電路具有電感性 。
(A)強迫響應(forced response)﹐﹐(B)自然響應(natural response)﹐(C)經一段長時間後自然響應就消失了 (D)會連續導通 。