所屬科目:技檢◆電力電子-甲級
2. 下圖中的開關以固定的時間來回切換,試問其是何種振盪器?(A)正弦波振盪器(B)方波振盪器(C)脈波 振盪器(D)三角波振盪器。
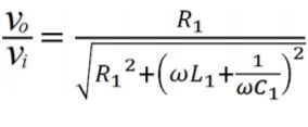
5. 下圖所示之高通濾波器電路,當輸入正弦波之頻率恰等於此電路之-3d B 頻率時,則輸出波形之相 位比輸入波形為(A)落後 45°(B)落後 90°(C)領先 45°(D)領先 90°。
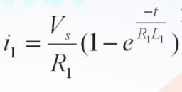
12. 如下圖所示,V S=100sin377tV、E 1=50V,此電流 i 1 開始導通的角度 α 為何?(A)α=30°(B)α=4 5°(C)α=20°(D)α=60°。
14. 下圖所示之符號,為何種元件之圖示符號?(A)FET(B)BJ T(C)IGBT(D)GTO。
17. 一電壓源 vs(t)=20cos(2 t)V,串聯 RLC 電路,其中 R=8Ω,L=1H,C= F,則電壓源之電流為 多少安培?(A)2cos(2t-53.1°)(B)2cos(2t-36.9°)(C)2co s(2 t +36.9°)(D)2co s(2 t +53.1°)。
19. 下圖所示之電路,方框中應為何種邏輯閘?(A)NO R(B)OR(C)NAN D(D)AND。
23. 下圖中調整器的輸出電壓為(A)20.4V(B)10.2V(C)15.3V(D)5.1V。
25. 下圖所示電路中,開關接通瞬間電流上昇率 為(A)1000(B)50(C)2000(D)100 A/s。
30. 下圖所示之電路,當其中的開關 S1 閉合(ON)之後,SCR 將如何?(A)間歇導通(B)延遲導通(C)截止導 通(D)瞬間導通。
32. 一直流升壓式轉換器之電路如下圖所示,設電路由理想元件組成,並操作於穩定狀態。若開關切換 頻率為 100kHz,VS=10V,VO=20V,R=4Ω,則平均電感電流為多少 A?(A)20(B)10(C)5(D)1.25。
34. 一並聯 RC 電路在頻率為 f 1 時,阻抗為(1-j6 )Ω;在頻率為 f 2 時,阻抗為(5-j15 )Ω,求其頻率比為(A)2.5(B)4(C)1(D)2。
35. 如下圖所示,此功能為何?(A)具有雙向功率轉換器的功能(B)具有功因校正及昇壓的功能(C)具有單相 變頻輸出的功能(D)具有交流-交流功率轉換器的功能。
36. 下圖所示之截波器電路中,輸入電壓 Vs=200V,切換頻率 f S=10kHz,若電晶體延遲時間 td=0,上升時間 tr=3μs,下降時間為 tf=1.2μs,且負載流 i=100A,則 LS 之值應為多少?(A)80μH(B)7 0μH(C)6μH(D)0μH。
37. 下圖所示之 T 型對稱式電阻衰減器,若以 d B 表示其衰減量 α,其中 P1、P2 表示功率,則下列何者為錯誤?(A) (B) (C) (D)。
38. 下圖所示之電路,其中主控 SCR 之導通延遲時間為何?(A)SCR1 -SCR2(B)以 SCR2 為準(C)以 SCR1為準(D)SCR1+SCR2。
40. 下圖中由 R2,C 及 SCR2 所組成電路主要作用為何?(A)增加容量(B)換向電路(C)緩震作用(D)保護 di/ dt。
42. 下圖所示之電壓波形,其平均值為多少伏特?(A)7.07(B)2.5(C)5(D)3.18。
43. 下圖所示電路 LAB 之等效電感為多少亨利?(A)9H(B)5H(C)15H(D)3H。
56. 如下圖所示,二極體為理想特性,若開關 S1 在時間 t=0 時導通,且電感之電流初值為零,則電流 的響應為何?(A) (B) (C) (D)。
57. 下圖所示電路中,電流為連續 i O,若正負半波對稱觸發且(T1、T4)及(T2、T3)成對導通則 iS 波形為何?(A) (B) (C) (D)。
58. 如下圖所示,二極體為理想特性;若開關 S1 在時間 t=0 時導通,且電容 C1 端電壓的初值為零,則 電容端電壓 vc 的時間響應為何?(A) (B) (C) (D)。
60. 下圖所示之電路,其中兩個 SCR 之耐壓的選擇為何?(A)SCR1=SCR2(B)SCR1<SCR2(C)無特定之規 則(D)SCR1>SCR2。
63. 如下圖所示電路中,試求輸出至R的最大功率 P MAX 及R值為(A)P MAX=375W(B)R=15Ω(C)R=14Ω (D)PMAX=400W。
65. 下圖為串聯諧振直流-直流(dc-dc)轉換器,其為切換的角頻率,Vi 及 VO 的基本波振幅的關係為 (A) (B) (C) (D)。
66. 如下圖所示電阻電路,若每一電阻皆為 1Ω,下列敘述何者正確?(A)R AB =0.785Ω(B)RAC =0.83Ω (C)RAB =0.583Ω(D)RAC=0.615Ω。
67. 如下圖所示,一個三角波電流加入到電感器,則電感器上的電壓與瞬間功率波形,與下列哪些選項 近似?(A)電壓 (B)電壓 (C)功率 (D)功率。
69. 下列何者為熱敏電阻(thermisto r)的符號?(A) (B) (C) (D) 。
72. 下圖所示之電路,如果圖中的 C 和 L 在開關 SW 閉合之前沒有能量儲存,在 SW 閉合後,下列哪些 選項正確?(A)理想二極體 D 導通時間約為 0.285ms(B)電路不停的持續振盪(C)電容器在二極體 D 截止以後所充的電壓為 200V(D)電流ί的瞬時最大值約為 5.48A。
76. 下圖為同步降壓型轉換器,下列敘述何者正確?(A)二極體 D1 的功能為 S 1 及 S2 截止時,提供電感電 流的傳導路徑(B)S1 及 S2 同時導通或同時截止(C)當 S1 截止,則 S2 延遲導通(D)避免 S1 及 S2 同時導通,需加入空白時間(dead time)。
79. 下圖所示之運算放大器,其規格表中 Zin =1.8MΩ,Zout =100Ω,開路增益 Aol =20,000,則下列 敘述何者正確?(A)其輸入阻抗約為 9GΩ(B)其回授衰減因素 β 約為 0.33(C)其輸出阻抗約為 0.02Ω(D)其閉路增益為 4。