所屬科目:技檢◆電力電子-甲級
2. 下圖(a)中的 LED 所發出光線的特性如圖(b)所示。忽略 LED 的順向電壓,試求產生的輻射(光線) 功率,單位為 mW,下列何者正確?(A)20mW(B)60mW(C)80mW(D)40mW。
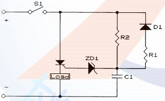
3. 下圖所示之電路,R1 之作用為何?(A)SCR 導通角之控制(B)限制電容 C1 之放電電流的大小(C)抑制閘流體之雜訊(D)吸收電源之湧浪電壓。
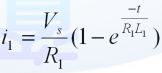
5. 如下圖所示,二極體為理想特性,若開關 S1 在時間 t=0 時導通,且電感之電流初值為零,則電流i1 的響應為何?(A) (B) (C) (D) 。
16. 使用 IGBT 之,220V,1HP VVVF 變頻器,其載波頻率一般約為多少?(A)200Hz~1.5kHz 可調 (B)1kHz~30kHz 可調(C)100kHz~200kHz 可調(D)50kHz~100kHz 可調。
17. 如下圖所示,此功率轉換器為(A)full-bridge converter(B)flyback converter(C)half-bridge converter(D)p ush-pull converter。
19. 一電壓源 vs(t)=20cos(2t)V,串聯 RLC 電路,其中 R=8Ω,L=1H,C=F,則電壓源之電流為多少安培?(A)2cos (2t+36.9°)(B)2cos(2t-53.1°)(C)2cos(2t-36.9°)(D)2cos (2t+53.1° )。
20. 下圖所示之電路,L1=2mH、L2=5mH、M=3mH,則總電感應為多少亨利?(A)4mH(B)13mH(C)10m H(D)1mH。
22. JK 正反器輸出之下一狀態 Q(t+1)等於(A) (B)JK(C) (D) 。
23. 下圖為降壓型直流截波器(step-downd power converter),且電晶體為理想特性,若電晶體Q1的切換頻率為 10kHz,其導通時間為 40μs, Vs=100V,則輸出電壓V0的平均值為何?(A)80V(B)40V(C)50V(D)100V。
24. 如下圖所示之 AC 濾波器,下列敘述何者為錯誤?(A)L1 與 L2 為用來抑制任何共模電流(B)C2 與 C3 為用來旁路往大地的共模電流(C)C1 為用來旁路任何低頻的差模電流(D)此濾波器乃用來消除共模和差模干擾電流。
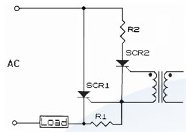
25. 下圖所示之電路,其中兩個 SCR 之耐壓的選擇為何?(A)SCR1<SCR2(B)SCR1=SCR2(C)SCR1>SC R2(D)無特定之規則。
26. 下圖所示之符號,為何種元件之圖示符號?(A)Darlington Power Transistor(B)GTO(C)IGBT(D)SCR。
27. 下圖中的開關以固定的時間來回切換,試問其是何種振盪器?(A)正弦波振盪器(B)方波振盪器(C)脈波振盪器(D)三角波振盪器。
28. 一直流降壓式轉換器之電路如下圖所示,設電路由理想元件組成,並操作於穩定狀態,VS=10V, R=40Ω,Vo=8V。若開關切換頻率為 50kHz,電感電流為連續,則電感最小為多少 μH?(A)70(B)80(C)100(D)90。
31. 下圖所示之電路,其中兩個 SCR 之功能為何?(A)並聯電路(B)SCR2 對 SCR1 之強制換流電路(C)SCR1 為主控開關,SCR2 為輔助觸發開關(D)觸發延遲電路。
34. 一直流升降壓式轉換器之電路如下圖所示,設電路由理想元件組成,並操作於穩定狀態。開關切換頻率為 100kHz,VS==20V,Vo=-30V,R=10Ω,則使iL 為連續之最小電感為多少 μH?(A)2 (B)8(C)4(D)6。
35. 某,220V,1HP 之三相感應電動機,額定線電流 3.5A。設有合理之柔性啟動(Soft Starting)功 能,則在選用 IGBT 之電壓及電流額定時,下列何者較為合理?(A)600V,15A(B)1000V,10A(C)350 V,10A(D)600V,25A。
36. 下圖電路中,E=5V,L=200μH,電感初值電流為 2.5A,若開關 S"ON",則 100μS 後電感電流為 多少安培?(A)8A(B)5A(C)6A(D)10A。
37. 布林代數 等於(A)A⊙B(B) (C)A⊕B(D) 。
47. 如下圖所示,其電感 L1 及電容 C1 的功能敘述何者正確?(A)作為低通濾波器用(B)作為變頻器使用(C)作為電流調節器用(D)作為整流器用。
49. 下圖所示之電路,其中主控 SCR 之導通延遲時間為何?(A)SCR1-SCR2(B)以 SCR2 為準(C)以 SCR1 為準(D)SCR1+SCR2。
50. 下圖所示電路中,RX 消耗之最大功率為多少瓦特?(A)24W(B)18W(C)48W(D)36W。
53. 下圖電路中,由齊納(Zener)二極體組成的截波器,當輸入正弦波信號如下圖時,則其輸出為下列何種波形?(A) (B) (C) (D) 。
56. 下圖所示電路中,a、b 兩端之等效電阻 Rab 為多少 kΩ?(A)7(B)2.66(C)1.33(D)4.5。
59. 一電壓 V(t)= cos (120πt+60° )伏特跨於 20Ω 電阻上,試求此電阻在瞬時功率任一週期內所消 耗的能量為多少焦耳?(A)1/2(B)1/5(C)1/3(D)1/4。
60. 下圖所示之電路,當其中的開關 S1 閉合(ON)之後,SCR 將如何?(A)間歇導通(B)截止導通(C)延遲導 通(D)瞬間導通。
67. 下列選項中哪些屬於含粉末鐵芯電感器之元件符號?(A) (B) (C) (D) 。
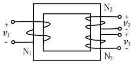
68. 變壓器有 3 個繞組如下圖,變壓器的匝數比為 N1 :N2 :N3=1:2:3,當輸入電壓 V1 (t)=10sin(377t) V 時,變壓器二次側 V2 (t)與三次側 V3 (t)的電壓為(A)V3 (t)=-30sin(377t) V(B)V2 (t)=20sin(377t) V(C)V2 (t)=-20sin(377t) V(D)V3 (t)=30sin(377t) V。
69. 下圖所示單相半波整流電路具有純電阻負載,vi(t)=Vm sin(377t) V,下列哪些選項正確?(A)波形因數 約為 0.707(B)漣波因數約為 1.21(C)輸入功率因數約為 0.707(D)二極體 D 峰值逆向電壓為 2V m。
71. 下圖所示之交流電壓控制器電路,電源 Vi (t)= 120sin (2π60t)V,純電阻性負載,閘流體 T 激發 延遲角調在 ,下列哪些選項正確?(A)電源側功率因數約為 0.866(B)負載端電壓平均值為 0V (C)平均輸入電流 0A(D)負載端電壓有效值約為 104V。
76. 下圖所示之運算放大器,其輸入電壓 V1=1.2mV,V2=1.0mV,其共模互斥比 CMRR =100dB,差動電壓增益 Ad 等於輸出電壓增益 A O 為 2×105,下列敘述何者正確?(A)其輸出電壓 V0=40±0.0022 V(B)其共模增益 AC =±4(C)其共模電壓 VC =1.1mV(D)其差動電壓 Vd =0.2mV。
77. 下圖為單相全控全橋整流電路,交流電源 Vs(t)=sin(377t)V,頻率為 60 Hz,含有交流側電感 LS=1.5 mH,若負載為 I d=20A,激發延遲角為 30°,下列哪些選項正確?(A)含有交流側電感會 提高直流側輸出電壓(B)電源端之電流平均值為 10A(C)換向角度 u 約為 14°(D)直流側輸出電壓之平均 值 Vd 約為 79V。