所屬科目:四技二專統測◆數學(全)
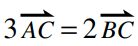
1.若A(2,0)、B(–4,3)、C(x,y)為平面上三點,且,則(x,y)=? (A) (–14, 6) (B) (6, –14) (C) (14, –6) (D) (–6, 14)
2.設三角形三頂點為A(2,–3)、B(1,3)、C(–5,7),已 知 點 D在邊上 , 且 ∆ABD 與 ∆ACD 的面積相等 , 求 通過 A 、 D兩點的直線之斜率為何? (A) –2 (B) (C) (D) 2
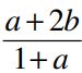
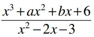
3.若可化簡為x的多項式,則a+2b = ? (A) –4 (B) –2 (C) 2 (D) 4
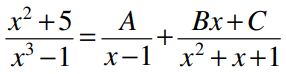
4.若,則A+2 B +3 C = ? (A) –9 (B) –7 (C) –5 (D) –3
6.設為一等比數列,已知a3=2,則a1⋅a2 ⋅ a3 ⋅ a4 ⋅ a5 = ? (A) 32 (B) 64 (C) 128 (D) 256
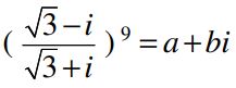
9.已知i=√−1,,則a+b=? (A) (B) −1 (C) (D) 1
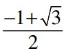
10.若,則x=? (A) (B) (C) (D)
11.若a=log32且b=log37,則以a、b表示log628為何 ? (A) (B) (C) (D)
14.已知A袋有1個紅球、3個白球,B袋有3個白球 。 每個球被 抽出的機會均等 , 今自 A袋抽出2個球 , 置入 B袋 , 再自 B袋抽出2個球 , 置入A袋 。 則紅球在A袋的機率為何 ? (A) (B) (C) (D)
15.若a、b為方程式的兩根,則a2 +b2 = ? (A) 9 (B) 13 (C) 17 (D) 21
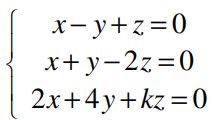
16.若方程組有無限多組解,則 k = ? (A) –7 (B) –5 (C) –3 (D) –1
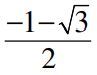
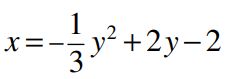
17.已知拋物線之方程式為, 此拋物線的 焦點坐標3為何? (A) (B) (C) (D)