所屬科目:四技二專統測◆數學(全)
2. 有一扇形的圓心角為,半徑為 3,則扇形的周長為何?(A) 6 (B) 8 (C) 10 (D) 12
3. 某抽屜中有 10 張仟元鈔,6 張伍百元鈔,從抽屜中隨機取出兩張鈔票共 1500 元的機率是多少? (A) (B) (C) (D)
5. 若,則 之最小值為何? (A) (B) (C) - 5 (D)
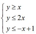
6. 若二元一次聯立不等式 的解集合為 S,則 S 為下圖(一)中的哪一個三角形? (A) △OAD (B) △OBC (C) △OAB (D) △OCD
7. 下列有關角度的敘述何者錯誤? (A) 235° 與 - 485 ° 為同界角 (B) 780° 與表示相同的角度 (C) 一個非零角度只有一個最小正同界角 (D)θ為一標準位置角且 0 ° ≤ θ < 90 ° ,則 θ為第一象限角
8. 已知。若 的夾角為 θ,則 sin θ = ?(A) (B) (C) (D)
10. 下列哪一個函數圖形,經過平移後無法與 y = sin x 的圖形重合?(A) y = cos x (B) y = 2 + sin x (C) (D) y = sin( x + 2π )
11. 下列選項哪一個數值最大?(A) log873 (B) log23 + log49 (C) (D)
13. 坐標平面上有 O、A、B、C 四個點,已知 O 為原點,A 點坐標為 ( - 1 , 0) ,B 點坐標 為 (1 , 1) ,且 △ABC 的重心為 (0 , 2) ,則△AOC 的面積為何? (A) 1.5 (B) 2 (C) 2.5 (D) 5
14. 已知 f ( x ) 為 3 次多項式且領導係數為 2, g ( x ) 為 2 次多項式且領導係數為 3,下列敘 述何者恆為正確? (A) f (3x ) + g ( 2 x ) 為 5 次多項式且領導係數為 54 (B) f (3x ) - g ( - 2 x ) 為 3 次多項式且領導係數為 54 (C) f ( 2 x ) ✕ g ( 3x ) 為 5 次多項式且領導係數為 36 (D) f ( 2 x ) 除以 g ( - 3x ) 之商式為 1 次多項式且領導係數為 1
17. 下圖(二)中, f ( x , y ) = - 30 x + 20 y + 100 在五邊形 ABCDE ( 含內部及邊界 ) 的最大值為 M、最小值為 m,則 M - m =? (A) 160 (B) 170 (C) 180 (D) 190
18. 若拋物線 y = - x 2 + a x + b 圖形如圖(三)所示,則一元二次不等式 x 2 - ax - b ≥ 5 的解為何? (A) x ≥ 5 或 x ≤ -1 (B) -1 ≤ x ≤ 5 (C) x ≥ 1 或 x ≤ -5 (D) -5 ≤ x ≤ 1
20. 已知某田徑場地如圖(四)所示,最內圈的 1 號跑道長度為 400 公尺,每往外一圈其跑道 長度就增加 公尺。試問從最內圈開始的 7 個跑道總長度最接近以下哪一個答案? (A) 2800 公尺 (B) 2960 公尺 (C) 3100 公尺 (D) 3250 公尺
21. 小竹與小淳規劃今年暑假的兩天一夜去某地旅行,他們預計要去下列五個不同的景點。 這些景點的開放時間如下: 他們打算第一天早上 ( 9:00 ~ 12:00 )、下午 ( 14:00 ~ 17:00 )、及晚上 ( 18:00 ~ 21:00 ) 各參觀 一個景點,而第二天早上 ( 9:00 ~ 12:00 ) 及下午 ( 14:00 ~ 17:00 ) 也各參觀一個景點,這些 景點都不會重複安排,試問總共有幾種規劃方式? (A) 4 (B) 6 (C) 10 (D) 12
22. 園遊會中有 10 項不同的活動,每一項活動每個人只能參加一次。小華與小明各自參加 5 項活動,如果他們選擇參加每一項活動的機率都相同,且不互相影響。已知小華已經 選了 5 項活動,那麼小明參加的活動中剛好有兩項活動與小華相同的機率是多少? (A) (B) (C) (D)
23. 如圖(五),岸邊有一棟景觀大樓,對岸有一座鐵塔。今由景觀大樓高 10 公尺處測得鐵塔頂端的仰角為 45° ,再由景觀大樓高 30 公尺處測得鐵塔頂端的仰角為 30° 。若兩處觀測 點的連線與地面垂直,則該鐵塔的高度大約是多少公尺? (A) (B) (C) (D)