所屬科目:四技二專統測◆數學(全)
3.坐標平面上兩點P(1,3)和Q(2,5)的直線距離為何? (A) (B)(C) 3(D) 5
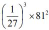
4.試求=? (A)(B) 1 (C) 3 (D) 9
5.試求=? (A) 1 (B) 3 (C) 5 (D) 15