所屬科目:四技二專統測◆數學(全)
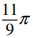
3.2020°與下列之有向角為同界角? (A) (B) (C) (D)
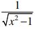
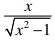
6.若f(x)=,則f(x)除以x+1的餘式為何? (A)−1 (B)0 (C)1 (D)2
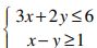
8.在坐標平面上,滿足聯立不等式的圖形不通過第幾象限? (A)一 (B)二 (C)三 (D)四
9.已知tanθ<0,3sinθ=2,則cscθ=? (A) (B) (C) (D)3
10.有一直角∆ABC,=x,=1,∠C=θ,如圖所示,則tanθ=? (A) (B) (C)x (D)
12.已知圓C:x2+y2−4x−6y−12=0,則下列何者為圓C之半徑? (A) (B)4 (C) (D)5
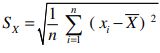
18.統計學的原始學期成績的平均分數為35分,標準差為8分。授課 老師調整學生的學期成績,調整後的學期成績為原始學期成績的 2倍,並再減4分。則調整後的學期成績的標準差為幾分? (標準差參考公式:) (A)2 (B)4 (C)8 (D)16
19.若指數方程式為,則x=? (A)−2 (B)−1 (C)1 (D)2
20.已知loga=3,則下列何者為? (A) (B) (C) (D)