阿摩線上測驗
登入
首頁
>
四技二專統測◆數學(全)
> 99年 - 99 空軍航空技術學院_甄試入學_二專班:數學#37973
99年 - 99 空軍航空技術學院_甄試入學_二專班:數學#37973
科目:
四技二專統測◆數學(全) |
年份:
99年 |
選擇題數:
25 |
申論題數:
0
試卷資訊
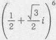
所屬科目:
四技二專統測◆數學(全)
選擇題 (25)
1.已知x
3
- 6x
2
+ l1x+ a具因式(x-1) ’ 試問 a 為何值?(A)6(B)-6(C)5(D)-5
2. x>0 ’ 若f(log
10
x) = x ’ 則f(2) = ? (A)10 log
10
2 (B)2
10
(C)log
2
10 (D)10
2
3.若tan0
<0,sinθ>0,試問 θ 的範圍為何?(A)0°<θ<9O° (B)9O°<θ<180°(C)180°<θ<27(r (D)270°<θ<360°
4.
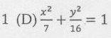
= ? (A)-l (B)0 (C) 1 (D)l/2
5-已知扇形之周長為6 ’求此扇形可能最大面積為何?(A)5/4(B)7/4(C)9/4(D)ll/4
6.所有滿足不等式|7x-1|≤3的範圍?
7.求以(0,0),(6,0), (4,3)為三角形面積為何?(A)6(B)9(C)12(D) 15
8.下列何者為方程式(3
4-x
)
x
=81實數解?(A)2 (B)3 (C)4 (D)5
9.已知tan θ = 1 ,求
? (A)0 (B)l (C)2 (D)3
10. A.B為角度,且 A+B=45°,求(1 + tanA)(l + tan B) = ? (A)l (B)√2 (C)2 (D)√3
11.已知
? (A)19(B)√l9 (C)17(D)√l7
12. 方程式x
3
+ x
2
+ x - 1 = 0,求下列範圍何者存在方程式之實根?(A)0 < x < 1(B)1 < x < 2(C)2 < x < 3(D)3 < x < 4
13.求二次函數f(x)=x
2
-x+2在點(1,2)之切線斜率(A)-3 (B)3 (C)-l (D)l
14.已知 A, B 為2x
2
--3x+ 6 = 0之二根’則 A
4
+B
4
= ?
15.在一平面上,若直線L與直線3x+4y+l=0垂直且通過點(2,1),求L方程式(A)3x+4-10=0 (B) 4x+3+5=0 (C) 4x+3y-11=0 (D) 4x-3y-5=0
16.設i = √-l ’ 則
? (A)l (B)-l (C)l+i(D)2-i
17. (12.7)
a
=(0.127)
b
=10 ’則
? (A)3 (B)2(C)l (D)-2
18.圓方程為x
2
+y
2
-6x+8y+16=0,求此圊方程表示之圓最長的弦為(A)3 (B)6 (C)4 (D)8
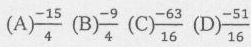
19橢圓長軸上頂點為(4,0)(-4,0)焦點為(3,0),(-3,0),求此橢圓方程式
20.小明投籃球命中率為在他有投三球的機會’試問他恰好投進二球的機率為多少? (A)5/9 (B)4/9(C)3/9 (D)2/9
21.計算
? (A)l (B)2(C)4 (D)8
22.設cosA = cosX sinC, cosB= sinXsinC 求sin
2
A + sin
2
B + sin
2
C之值?(A)2 (B)3 (C)4(D)0
23.設多項式f(x) = x
5
+ 3x
4
— 2x
3
— 5x
2
— 4x + 3,若將f(x)表示成
? (A)39 (B)36 (C)33 (D)30
24.設f(x)為 x 的三次多項式 f(1)= f(2)= f(-2)=0 > 且 f(3)=20,求 f(0)=? (A)2 (B)4 (C)6 (D)8
25.三角形 ABC 中 , 三個頂點分別為 A(2,-3),B(-2,-5),C(5,-4),求△ABC = ? (A)45° (B)60°(C)135°(D)120°
申論題 (0)
相關試卷
110年 - 110 身心障礙學生升學大專校院甄試試題 (四技二專組):數學(S)#99510
110年 · #99510
110年 - 110學年度身心障礙學生升學大專校院甄試 (四技二專組)試題-共同-數學C#99506
110年 · #99506
110年 - 110學年度身心障礙學生升學大專校院甄試 (四技二專組)試題-共同-數學B#99398
110年 · #99398
110年 - 110學年度身心障礙學生升學大專校院甄試 (四技二專組)試題-共同-數學A#99397
110年 · #99397
110年 - 110 四技二專統測_共同科目:數學(A)#98520
110年 · #98520
102年 - 102 空軍航空技術學院_甄試入學_二專班:數學#19448
102年 · #19448
98年 - 98-1 空軍航空技術學院_甄試入學_二專班:數學#20723
98年 · #20723
92年 - 92 四技二專統測_共同科目:數學(共同作答)#110770
92年 · #110770
91年 - 91 四技二專統測_共同科目:數學(共同作答)#110775
91年 · #110775
90年 - 90 四技二專統測_共同科目:數學(共同作答)#110779
90年 · #110779