所屬科目:國中會考基測◆數學科
1. (a) 如下圖,某張信用卡的卡號共 16 位數,若任意相鄰三個數字的和都是 17, 則 x = ? (10 分)
2. (a) 小強練習 x、 y 兩數的四則運算,並將結果列式抄寫如下: 已知他不小心抄錯其中一個式子,求 x、 y 。 (10 分)
(c) 的餘式為何? (10 分)
3. 證明不存在兩個自然數m n, ,使得 。 (20 分)
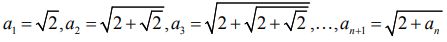
(a) 令 ,請問此數列是否有極 限值(請詳細敘述你的推論)。若有請求出數列的極限值。 (15 分)
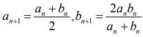
(b) 給定a1>b1 > 0,我們利用以下規則 建構出兩個數列,請問這兩數列是否有極限值(請詳細敘述你的推論)。若有,請求出它們的極限值。 (15 分)