3. 考慮一個兩人(丙、丁)、兩期(t = 0,1)的以物易物交易市場,在這個純交換經濟(pure exchange economy)中沒有產出和投資。這市場中,兩人交易的物品是「紅酒」,當期若沒消費完,紅酒就會發酸,無法留到下一期。紅酒必須以「瓶」來買賣,不能分割成更小的單位。已知丙和丁兩人在每一期的原賦(endowment) 都是2瓶紅酒(丙在第0期和第1期各有兩瓶紅酒、而丁也是)。兩人之間若互相買賣紅酒,可以來當做利率,必須是一個整數,例如,若一消費者在t=0時多消費1瓶紅酒(也就是說,借了一瓶紅酒)、下一期(t = 1)還2瓶紅酒,那我們就稱利率為:r = 2 − 1 = 1。 下列哪些敘述是正確的? (A)假設丙、丁兩人的效用函數都是U =

,而且折現值(discount factor) ρ> 0。那麼,市場均衡利率有可能是r = 0。(B)假設丙、丁兩人的效用函數都是U =

,而且折現值ρ> 0。那麼,唯一有可能的市場均衡利率是r=1。 (C)假設丙、丁兩人的效用函數都是

,而且折現值ρ> 0。 那麼,市場均衡利率有可能是r= 2. (D)假設丙的效用函數可寫成: U =

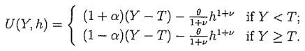
,而且折現值ρ > 0。而對丁來說,「期待未來的消費」會有其效用,我們將丁在第0期的效用函數寫成 u(c
0) + αE[u(c
1)],且α ∈ (0,1)。丁的效用即為:U = u(c
0) +[u(c
1)] +(

),而u(.)的效用值為:u(0) = 0, u(1) = 1, u(2) = 2, u(3) =

, u(4) =

。在這情況下,當丙願意借出酒時,丁也必然願意借出酒。 (E)假設丙的效用函數可寫成:U =

, 而且折現值ρ > 0。而對丁來說,「期待未來的消費」會有其效用,我們將丁在第0期的效用函數
數寫成 u(c
0)+au(c
1).且a∈ (0,1)。丁的效用即用即馬:u(c
0)+ au(c
1)+

,而u(.)的效用值用:u(0)=0=0,u(1)=1, u(2)=2, u(3)=

,u(4)=

。在這情況下,當丁願意借出酒時,丙也必然願意 借出酒。