所屬科目:技檢◆電力電子-甲級
1. 一直流降壓式轉換器之電路如下圖所示,設電路由理想元件組成。若開關切換頻率為 100kHz, 責任週期 D 為 0.5,= 40V,R=10Ω,L=20μH, 為多少 V?(A)18.5(B)20(C)30(D)21.5。
3. 下圖所示之電路,其電容抗 為何?(A)628Ω(B)50Ω(C)936Ω(D)314Ω。
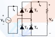
4. 下圖所示電路中,電流為連續,若正負半波對稱觸發且(T1、T4 )及(T2、T3 )成對導通,則 波 形為何? (A) (B) (C) (D) 。
10. 下圖所示電路,欲使負載能吸收最大功率其負載阻抗 為多少 Ω?(A)5-j5(B)2.5-j2.5(C)5+j5(D)2.5 +j2.5。
11. 如下圖所示之 AC 濾波器,下列敘述何者為錯誤?(A)C1 為用來旁路任何低頻的差模電流(B)此濾波 器乃用來消除共模和差模干擾電流(C)C2 與 C3 為用來旁路往大地的共模電流(D)L1 與 L2 為用來抑 制任何共模電流。
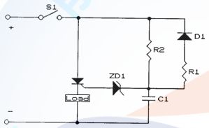
14. 下圖所示之電路,若負載為電阻性,則在開關 S1 閉合(ON)之瞬間,其接點上之火花現象為何? (A)無火花(B)反應負載電流之火花(C)火花時有時無(D)反應對 C1 之充電電流的火花。
19. 下圖電路中,E=5V,L=200μH,電感初值電流為 2.5A,若開關 S"ON",則 100 後電感電流 為多少安培?(A)5A(B)8A(C)10A(D)6A。
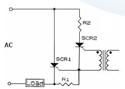
20. 下圖所示之電路,其中主控 SCR 之導通延遲時間為何?(A)以 SCR1 為準(B)SCR1-SCR2(C)以 SCR2 為準(D)SCR1+SCR2。
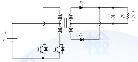
24. 如下圖所示,此功率轉換器為(A)flyback converter(B)forward converter(C)half-bridge converter(D)pus h-pull converter。
31. 某功率電晶體附有散熱片,其 ,電晶體接合面最高溫度; =0. 5℃/W; 5℃/W;,若周圍溫度為 25℃,則該晶體所能承受的最大功率散逸為多少?(A)34.6 W(B)28.8W(C)16.6W(D)14.4W。
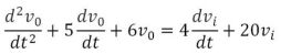
38. 若一電路以微分方程式表示為: ,式中為輸入函數, 為輸 出函數;則此電路轉移函數之極點(pole)為:(A)2,–3(B)2,3(C)–2,3(D)–2,–3。
40. 下圖(a)中的 LED 所發出光線的特性如圖(b)所示。忽略 LED 的順向電壓,試求產生的輻射(光線) 功率,單位為 mW,下列何者正確?(A)60mW(B)40mW(C)20mW(D)80mW。
42. 如下圖所示,下列敘述何者正確?(A)此為直流-直流功率轉換器用(B)可將直流電源轉換為三相電源 使用(C)此功率轉換器為電流源變頻器(D)此為交流-交流功率轉換用。
43. 下圖所示之符號,為何種元件之圖示符號?(A)IGBT(B)BJT(C)GTO(D)FET。
45. 下圖的振盪器中,假設回授電路的負載效應很小可以忽略,而且品質因數 Q 大於 10,此震盪頻率為(A)17.46kHz(B)174.6kHz(C)74.6kHz(D)7.46kHz。
46. 下圖所示電路中, 消耗之最大功率為多少瓦特?(A)24W(B)36W(C)48W(D)18W。
47. 布林代數可簡化為(A) (B)BD(C) (D)ABD。
49. 下圖所示電路中,達靈頓功率電晶體(Darlington's Power Transistor)之二極體 SUD 功能為(A) 之旁路(B)之迴路(C)漏電流之旁路(D)提升功率電晶體之耐壓。
51. 某電晶體之最高接面溫度 ,若熱阻 ,而周圍溫度 ,則此電晶體之最大功率散逸為多少?(A)110W(B)100W(C)125W(D)135W。
52. 下圖所示之串聯諧振電路中,自然頻率(Natural Frequency)為 、輸入訊號為一頻率 之 PWM 方波電壓源,當時,此諧振電路呈下列何種負載特性?(A)電容性(B)電阻性(C)主動性(D)電感 性。
54. 一直流升降壓式轉換器之電路如下圖所示,設電路由理想元件組成,並操作於穩定狀態。開關切換頻率為 100kHz,,R=10Ω,則使為連續之最小電感為多少 μH?(A)4 (B)8(C)2(D)6。
55. 一直流升壓式轉換器之電路如下圖所示,設電路由理想元件組成,並操作於穩定狀態。若開關切 換頻率為 100kHz,,R=4Ω,L=20μH,若為連續,則之最小值為多少 A?(A)6.25(B)7(C)8.75(D)5。
57. 下圖中的開關以固定的時間來回切換,試問其是何種振盪器?(A)三角波振盪器(B)脈波振盪器(C)方 波振盪器(D)正弦波振盪器。
59. 如下圖所示,、R1 =100Ω、C1 =100μF,常開關S1導通且穩態時,電容C1端電壓值為何?(A)0V(B)5V(C)10V(D)3V。
61. 變壓器有 3 個繞組如下圖,變壓器的匝數比為 N1 :N2 :N3=1:2:3,當輸入電壓 V1 (t)=10sin(377t) V 時,變壓器二次側 V2 (t)與三次側 V3 (t)的電壓為(A)V3 (t)=-30sin(377t) V(B)V2 (t)=20sin(377t) V (C)V2 (t)=-20sin(377t) V(D)V3 (t)=30sin(377t) V。
65. 下圖電路中 SCR 之觸發電壓(trigger voltage)VT=0.75V、觸發電流(trigger current) 及保 持電流(holding current),下列哪些選項正確?(A)SCR 切斷(off)時之輸出電壓 (B) 小於 0.6V 時,SCR 切斷(C)能觸發 SCR 之輸入電壓 大於 7.75V(D)陽極電流小於 6mA 時,SCR 仍可保持導通。
67. 下圖為單相全控全橋整流電路,交流電源=110√2 sin(377t)V,頻率為 60 Hz,含有交流側 電感 ,若負載為,激發延遲角為 30°,下列哪些選項正確?(A)換向角度 u 約 為 14°(B)直流側輸出電壓之平均值 約為 79V(C)含有交流側電感會提高直流側輸出電壓(D)電源端 之電流平均值為 10A。
68. 下圖所示之導通-截止(on-off)控制之交流電壓控制器,輸入電源為 ,純電阻性負 載。閘流體開關控制導通 m 個週期,截止 n 個週期,重複循環,下列哪些選項正確?(A)電源側功 率因數為 (B)各閘流體電流平均值為 0 A(C)負載端電壓有效值為 (D)負載端電壓平均 值為 0 V。
69. 下圖所示單相半波整流電路具有純電阻負載,,下列哪些選項正確(A)漣波因 數約為 1.21(B)輸入功率因數約為 0.707(C)二極體 D 峰值逆向電壓為(D)波形因數約為 0.707。
70. 根據 CNS3-10 工程製圖(電機電子製圖符號)規定,下列哪些選項為電阻器的正確畫法?(A) (B) (C) (D) 。
71. 下圖所示電路中,下列敘述何者正確?(A)-3dB 頻率為 1000 rad/sec.(B)直流增益為 0.5(C)直流增益 為-2(D)-3dB 頻率為 500 rad/sec.。
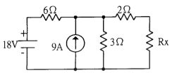
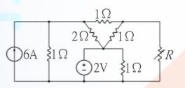
75. 如下圖之電路,試應用諾頓等效電路求負載電阻 R 的最大功率 以及等效電阻 為(A)= 3.8W(B)=4.2A(C)=3.6W(D)=4.8A。
78. 弦波電源與非線性負載,弦波電源為,非線性負載電流 ,下列哪些選項正確?註:下標 rms 表示有效值(A)電流基本波有效值 為 A(B)位移功率因數為 (C)負載之功率因數為 PF=DPF(D)負載電流之失真因數為 。
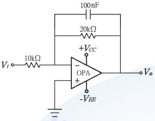
79. 下圖所示電路,下列敘述何者正確?(A)波德圖(Bode plot)之轉角頻率(corner frequency)為 Hz(B)電感及電容組合功能為帶通濾波(C)電感及電容組合功能為低通濾波(D)電感及電容組合功能為 高通濾波。