所屬科目:教甄◆物理科專業
2. 兩個點光源 S1、S2 間的距離為 24 cm,使用焦距為 9 cm 的薄透鏡 L,垂直放置於兩點光源的連線上並調整位置,如下圖所示,使兩個點光源成像於同一位置,則兩點光源到透鏡的距離比為何?
3. 一火箭之初速度,其中 M 為地球質量,R 為地球半徑,G 為萬有引力常數;此火箭之初速度方向與當地 之水平線夾 60 度角,試求此火箭以此初速度 V0 被彈射後之最大高度
4. 若一個物體以 84.3 min 的週期在穿越地球中心且無任何摩擦的通道中做來回運動(oscillation),若將此來回運動移到 月球(Moon)上,則週期會變為多少? ( )
9. 如下圖所示,平板 A 長為 5 公尺,質量為 5 公斤,放在水平桌面上,平板右端與 桌邊相齊, 在 A 上距右端 3 公尺處放一質量為 2 公斤的小物體 B,已知 A 與 B 之間的動摩擦係數為 0.1,A、B 兩物體與桌面間的動摩擦係數均為 0.2,最初系統 靜止,且 A 板的厚度可忽略, B 物視為一質點。現在於 A 板右端施一水平定力 F, 將 A 從 B 下抽出,且恰使 B 停在桌子的右邊緣。試求 F 為多少牛頓? (g=l0m/s2 )
11. 下表為一些金屬的功函數,今用波長為 400 nm 的單色光分別照射各金屬片,從事光電效應的實驗。若入射光照射 到表中某金屬片時的功率為 0.5 W,且產生的光電子都可全部收集,而獲得 3.2 mA 的光電流,則約有多少百分比的 入射光產生了光電子?
20. 有一紅光雷射發射波長為m 的雷射光,其輸出功率為 5.0 mW;另有一藍光雷射發射波長為 m 的 雷射光,其輸出功率為 15 mW。試問藍光雷射每秒發射的光子數目,約為紅光雷射的多少倍?
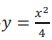
3. 有一質點置於光滑彎曲軌道之頂點,軌道的方程式為 ,其中 y 軸方向定向下為正, 當質點沿軌道下滑,其切線加速度與水平位置 x 的關係式為何?請詳細說明切線加速 度的定義與計算過程。(7 分)
7. 如圖所示將四顆相同之鋼球緊密堆放於桌上,底部三顆球相互緊靠,並於上方放置第四顆球,請問要能達到穩定的平衡,則球與球之間的摩擦係數μ1,以及球與桌面的摩擦係數μ2須滿足甚麼條件? (16 分)