所屬科目:流體力學
一、已知一污水處理廠的污水在兩片間距為 h 的水平置放平行固定薄板間流動,平行固定薄板間的污水流速分布函數為V ( y ) =,其中 y 為平行薄板間任何一點到下面薄板的垂直距離,為此兩固定間流動流體最大速度(發生在 y = 0.5 h 處),假設污水的動力黏滯係數(Dynamic viscosity)為 μ ,試推導兩片平行薄板與污水接觸面(假設兩片薄板各別寬度均為 W)的每單位長度受污水作用的阻力(Drag force) 大小。(15 分) (註:流動流體剪應力( τ )公式)
二、一座廠房為節省能源,擬設計一套取水系統,將固定水面高度的蓄水池內的水,送到比固定水面高出 1 公分的機台上使用,倘若水的溫度維持在 20℃,水的密度( ρ )假設為 1000 公斤/立方公尺,此時的水的表面張力( σ )若為 0.073 牛頓/公尺,倘若用玻璃管做為此取水系統時,且水與玻璃管間的接觸角(Contact angle, θ )為 15 度時,請問此玻璃管的內徑(d)應為多少公分?(15 分)(註:玻璃管內水毛細張力公式 σ = ,r 為玻璃管半徑,h 為玻璃管內的水上升高度)
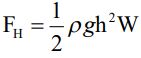
三、已知一座滯洪池的防洪閘門設計如圖所示,其中水深為 h,閘門設計成倒 L 形,其中 L 形轉直角處(如圖中的 A 點)為一個可做 360°旋轉的鉸鏈(Hinge)。而 L 形兩邊中,長邊長度 H,短邊長度 d,寬為 W。為了要達到滯洪效果,採用重力排洪,換言之,當滯洪池內蓄洪水深在小W於 h 時,滯洪池是關閉,也就是在短邊盡頭寬 W 的正中央(即處) 處,施一個固定集中力(大小為 F) ,以抵抗水門後方滯洪水量產生的推力,同時,在長邊靠滯洪池底部有一個檔板,用以阻擋閘門向滯洪池內側移動。試以靜水壓力概念寫出閘門要打開當下,固定集中力 F 表示成參數 W、d、h 及 H 的函數。若今滯洪水深 h 為 3.6 公尺,閘門長邊 H 為 4.5 公尺、短邊 d 為 2.7 公尺、寬 W 為 2 公尺,水的密度ρ為 1000 公斤 /立方公尺,計算固定集中力 F 大小。 (25 分) (註:作用在單位寬垂直平板上的水平作用力大小為)
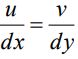
四、已知一座火力電廠的煙囪排放煙的流速場,可以表示成,其中 u , v 分別為流速場在 x-及 y-方向的流速分量,假設此流速場為穩態,不可壓縮的二維流速場, 求解此流速場的流線函數,並請定出通過座標原點處的流線函數值。 (20 分)(註:穩態不可壓縮流況下,流速分量間存在關係為)
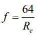
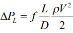
五、已知一座機械工廠的機械操作靠油壓系統啟閉,其油壓管線及油品參數 分別為水平油壓管線長度(L)為 33 公尺,管內徑(D)為 28 公分, 油品的密度(ρ)為 894 公斤/立方公尺,及油品的黏滯係數(μ)2.33 公斤/(公尺·秒),且管線內油品流動速度大小為 0.5 公尺/秒。假設忽略管線入口影響的能量損失,試求此系統下,需要克服管線壓力損失及維持管線內油品流動流況不變下的馬達操作功率。(25 分) (註:下列公式提供計算時使用,雷諾數 ,管路內流體以層流情況下的摩擦係數,管路內流體流動壓力損失,操作功率,其中∀̇為管路內的體積流率) (假設油壓管的 表面粗糙度 ε = 0 )