所屬科目:教甄◆物理科專業
1. 一個質量 0.3 kg 的方形盒子靜止於光滑平面上(即無摩擦力),盒子內部頂端中心處繫有一長度 50 cm 的細繩(質量可忽略不計),繩的另一端繫一質量為 0.1kg 的小球, 初始時小球於距離中央位置 40 cm 處由靜止狀態釋放,如圖所示,則自小球釋放後到達最低點時,方形盒子相對於地面的位移量為多少?(不計空氣阻力) (A) 0.1m (B) 0.4m (C) 1m (D) 4m
2. 一轉輪系統(質量 M、半徑 R)於輪框上繫有一重物(質量為 m),初始時重物 m 緊靠轉輪左側且為靜止,釋放後轉輪受外力矩而轉動,其中轉動慣量 I =,為角加速度。求重物 m 掉落 h 距離時的速度為何? (A)(B)(C)(D)
3. 一個質量為 m 的物體從距離下方彈簧高度 h 處落下, 撞到一個垂直放置在地面上的彈簧(彈簧力常數為 k,其質量可忽略不計),彈簧被壓縮,如圖所示, 彈簧的最大壓縮量 x 是多少?(其中 g 是重力加速度) (A) mg/kh (B) (C) (D)
4. 水中有一 5 莫耳的氦氣氣泡,該氣泡維持在固定的深度,在定壓下因水溫上升 20℃ 造成氣泡膨脹,此一過程中,氣泡吸收多少能量(假設該氣泡內之氦氣為理想氣體)? (A) 1039 J (B) 2078 J (C) 3117 J (D) 4156 J
5. 於一大氣壓下,一活塞裝置,其工作流體為 1kg 的水,將其加熱至 100℃後部分轉變為蒸氣,其體積由原本的 1x10-3 m3 膨脹為 1.5 m3 並推動活塞,此一過程中此一工作流體對外作功多少? (A) 0.50 J (B) 1.01 J (C) 1.52 J (D) 2.04 J
6. 某一密閉容器中裝有 1 莫耳之單原子理想氣體,其溫度由 127℃升高至 327℃。 假設容器的體積不變,則下列敘述何者正確? (A) 氣體之密度增加為原來的 1.5 倍 (B) 氣體之壓力提高為原來之 2.5 倍 (C) 氣體分子之方均根速率下降至原來之 0.5 倍 (D) 在升溫過程中氣體共吸熱 2.493 ×103 焦耳
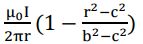
10. 一同軸電纜線由一實心導電內圓柱及一導電外殼組成,內圓柱半徑為 a,外殼的內半 徑及外半徑分別為 b 及 c。兩個導體中存在大小相等但方向相反的電流 I。 求在外殼中間一位置 r 處(b < r < c)的磁場大小? (A)(B)(C) (D)
11. 一擺長為 L 之單擺,擺錘為質量 m 之小球帶有電荷 q,其所處環境有一方向朝下之 均勻電場 E,此一單擺做小角度擺動,其週期應為何者?(已知 g 為重力加速度) (A) (B)(C) (D)
3. 有一個內壁光滑、下方有底的圓柱型容器,深度 L 為 0.500 m、截面積 A 為 0.003600 m2,其內部有一個可以自由移動的活塞。以一個力常數 k 為180 N/m 的理想彈簧抵住活塞再蓋上蓋子,彈簧的自然長度恰好是 L。將 容器上方抽成真空,下方封入溫度為 300 K 的理想氣體,氣柱的長度 h 為 0.200 m,如圖所示。假設活塞的質量、厚度以及和器壁間的摩擦力 皆可忽略不計。當氣體的溫度為 432 K 時,氣柱的長度 hꞌ 為 _______________。
4. 電動勢為 ε、內電阻為 r 的電池串接上一個可變電阻器,調動可變電阻器上旋鈕改變電阻值,則可變電 阻器上可消耗的電功率最大值為____________。
三、證明申論題: 1. 殼層定理(Shell Theorem)是古典力學上重要的理論,可簡化重力於對稱球體內部和外部的貢獻。試由萬有引力定律,即距離為 r、質量分別為m1、m2的兩質點間的作用力為開始,證明質量均勻分佈在球殼上的物體,對於球體外的一點, 其重力貢獻如同將球殼質量集中於球心?(8 分)