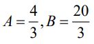
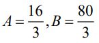
12函數f(t)=2cos(3t),0≤t≤
,若在 t = 0 處,f (t)的傅立葉餘弦級數(Fourier cosine series)收斂到 A,傅立葉正弦級數(Fourier sine series)收斂到 B;在 t =
處,f(t)的傅立葉餘弦級數(Fourier cosine series)收斂到 C,傅立葉正弦級數(Fourier sine series)收斂到 D。則 A,B,C,D 各值為何? (A) A = 0, B = 0, C = 0, D = 0 (B) A = 2, B = 0, C = -2, D = 0 (C) A = 0, B = 2, C = -2, D = 0 (D) A = 2, B = 0, C = 2, D = 0