所屬科目:教甄◆物理科專業
1.如圖所示,在牆角邊有一根質量為m的均勻繩,一端懸於天花板上的A點,另一端懸於鉛直牆壁上的B點,平衡後最低點為C,繩長,且繩在B點的切線與鉛直牆成a角,則繩在A處的張力為多少?
3.兩木塊質量分別為m及2m,以力常數為k的彈簧相聯,靜置於光滑水準地面上。今以水平衡量J施於質量為m之木塊,使整個系統沿直線前進,如圖所示,則當兩木塊最接近時,彈簧被壓縮多少?
4.如圖,滑輪半徑分別為R和r(r<R),彈簧的彈力常數為k。半徑r的滑輪下方垂吊一質量m之木塊平衡後,將木塊拉下一段後釋放,則木塊振動週期為?
5.右圖中,一彈力常數為k的彈簧,下端懸掛質量M及m的兩物體達平衡。若重力加速度以g表示,今m突然脫落,M留在彈簧上作 S.H.M.的最大速率為何?
6.如右圖所示,質量為m的均質木桿,上端與固定於天花板的轉軸O連結,下端擱在木板上,該木板置於光滑水平地面,均質木桿與鉛直線夾角θ為37°,桿與木板間動摩擦係數為0.5,重力加速度以g表示,欲使木板向右作等速度運動,則作用於木板的水平拉力F為何?
7.如圖所示,光滑水平面有一斜面體質量M,另有一質量為m的小質點自斜面頂端由靜止滑下。若斜面傾斜角為θ,最高點離地高度為h,不計一切摩擦力,m滑至底面時,M對地位移為何?
9.右圖中,滑輪與甲物體之質量皆為m,乙物體之質量為2m,今若施一拉力F於滑輪,欲使乙物體可以相對於地面靜止不動,則此拉力F應為多少?
10.直角三角形ABC,其邊長AB為6cm,而AC為8cm,今在A、B兩點處各有一點波源,其相位相同,所生之水波長均為1cm,則A、C兩點間共有幾個節點?
11.如圖,有一容器於0°C內裝有等體積,且不起化學變化,不互溶之液體與理想氣體,若液體之體膨脹係數為,今將整個系統從0°C加熱到 273°C,不計容器所吸收之熱量,且液體亦不汽化,則氣體之壓力變為原來之幾倍?
12.如右圖,相距L的A、B 兩個點電荷,帶電量分別為+Q和-2Q。原來不帶電的金屬球的球心C在AB連線上,距A點L/2處。求金屬球上的感應電荷在C點處的合電場量值為何?
15.小王子居住的 B612 號星球為均勻球體,質量M,半徑R,該星球表面A點處重力場強度為g。若内切去質量為之圓球(如圖a)。再將此星球放入半徑為2R,質量M 之薄球殼內(如圖b),A點重力場強度變為何?
16.一容器裝有壓力為P的氣體,考慮壓力的改變,經過一段時間後,氣體分子有黏於器壁上,則該處壓力為何?
18.一小光源S放在凹拋物面鏡的焦點上,如圖。若鏡面為完全反射面,且空氣對光的吸收與散射極微小,而忽略不計,則在主軸上2倍焦距的A處,與3倍焦距的B處,其照度比值 EA:EB為何?
19.如圖,會聚光線應交於P點,今在其間置一折射率為之玻璃磚,則經折射後交於p'點,已知,此玻璃磚之厚度為何?
25.右圖中,半徑為R、折射率為2的球狀玻璃與一垂直牆面相切,切點為A,AB 為球直徑,若在B置一點光源,則光經玻璃球折射後,牆面上亮的區域面積為多少?
26.如圖,小球質量m,A繩與鉛垂線之夾角為θ,重力加速度為g。現以剪刀將小球右方與牆壁間之B繩剪斷,剪斷瞬間,小球之加速度大小為a1,若A繩改為彈簧,剪斷B繩瞬間,小球之加速度大小為a2(設小球半徑遠小於A繩長度),則a1/a2=?
27.如圖所示,一垂直架設且固定於地面的圓環,內側有一用絕緣材料製成的光滑軌道,軌道半徑為R,圓心為O。設重力加速度為g,若將質量為M及帶正電荷電量為Q的小球(視為質點),從P點(高度為R)以初速度v沿軌道向下射出,若於此圓形軌道區域內施加與地面垂直向下之均勻電場E,則小球之初速度v至少需多少,方能作完整的圓周運動?
28. 如圖所示,光滑水平面上,靜置質量2m、長度L的長方體。質量為m、長度可忽略的小木塊,在長方體上面,由左端以水平初速開始向右滑行。若重力加速度為g,木塊與長方體之間動摩擦係數為μ,且木塊不會由長方體右端掉落,則木塊由一開始到與長方體速度相等時,至少需多少時間?
31.有一質點以初速為(g為重力加速度),自地面斜向上拋,已知其上升最大高度為h,則其最大水平射程為何?
33.若安培計電阻為10歐姆,伏特計電阻為1000 歐姆。電路如圖(一)時,安培計讀數為0.2 安培,伏特計讀數為22伏特。若將電路改為圖(二),安培計讀數為0.22 安培時,則伏特計讀數為多少伏特?
34.右圖中,質量為m、電阻為R、長為L的金屬棒,橫跨於兩邊間隔亦為L的U形金屬軌道 abcd上。軌道abcd 與水平面夾角為30°,不計軌道的電阻,與軌道與金屬棒之間的摩擦力,整個裝置置於鉛直向上的均勻磁場B中。若重力加速度為g,且軌道夠長,金屬棒自靜止下滑,則金屬棒的終端速度量值為多少?
35.有三個質量比為4:3:2的小球A、B、C,其中B球帶正電Q,其餘兩球不帶電,用足夠長且不會伸長的絕緣線連接,置於鉛直向下、量值為E的均勻電場中,如圖所示,釋放A球,讓三球由靜止落下,下落一小段時間後(此時各球間尚未相撞),A、B間連線的張力F為多少?
37.如圖,斜面角度為30度,物體A質量為物體B質量的2倍,接觸面均為光滑,重力加速度為g,則物體B的加速度量值為多少?
39.設有無限多顆金屬球彼此相距甚遠,其半徑為等成等比關係,半徑R的金屬球帶電為Q,其餘不帶電,用金屬線將所有金屬球連接,忽略金屬線之帶電,則平衡後半徑R之金屬球帶電量為多少?
41.如圖所示,材質均勻的木棍放在粗糙的半圓柱面內,木棍走向垂直於半圓柱的軸線。木棍長度等於圓柱的半徑,木棍與圓柱面之間的靜摩擦係數為μ,若木棍與水平面所能成的最大角為α,則tanα 為何?(6分)
42.右圖中,質量m、電量q的小墊片在傾角為α、動摩擦係數 μ 的斜面上自由下滑。均勻磁場B與斜面垂直,重力加速度以g表示,求小墊片的終端速度為何?(6分)
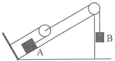
43.用波長為λ的平行光,以入射角θ=30°照射到一肥皂膜上,已知肥皂膜折射率,求能看到皂膜表面最明亮的膜厚度至少為多少?(6分)