所屬科目:教甄◆數學
2. 在直角三角形 ABC中,∠C = 90°, = b,令x =且滿足13xy=15(x+y)-15,則x+y之值為下列何者? (A) 1 (B) (C) 2(D)
3. 已知 f(x) 為連續函數,如果,則f(2) 之值為下列何者? (A) (B) (C) (D)
4. 已知,其中n表示為a的正整數部分且b為a的小數部分,0<b<1,則b²+2a+n之值為下列何者? (A) 12 (B) 13 (C) 14 (D) 15
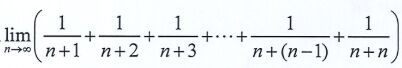
5. 試問極限值之值為下列何者? (A) 0 (B) (C) 1 (D) 不存在
6. 令a=3-,則此三數由小而大的排列順序為下列何者? (A) c<b<a (B) b<c<a (C) b<a<c (D) a<b<c
7. 試求極限之值為下列何者? (A) (B) 1 (C) (D) 2
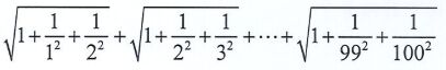
8. 化簡之值為下列何者? (A) 98 (B) (C) 99(D)
9. 長方形ABCD中,E為中點,F為中點。如果∠AEF 為直角,則之比值為下列何者? (A) (B) (C) (D)
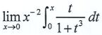
10. 試求極限之值為下列何者? (A) ln 2 (B) 2 ln 2 (C) 1 (D) 1/2
11. 已知數列{a₀, a₁, a₂, a₃, ..., aₙ₋₁, aₙ, ...}滿足 a₀=1,及aₙ₊₁=7aₙ+3,其中n=0,1,2,...,則之值為下列何者? (A) (B) 3 (C) (D) 7
14. 已知正數a,b 滿足條件log₇ a = log₁₂ b = log₁₆ (a+b),則之值為下列何者? (A) (B) (C) (D)
15. 已知a,b為正整數,且滿足條件,則a+b之值為下列何者? (A) 561 (B) 748 (C) 935 (D) 1122
17. 已知實數x,y 滿足條件,則sin(x+y)之值為下列何者? (A) (B) (C) (D)
18. 直角三角形ABC中,∠C = 90°,且令,其中a≠c。如果α, β為一元二次方程式 的二個實數解,且a²+β² =12,則a:b:c之比為下列何者? (A) (B) (C) (D)
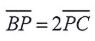
19. △ABC中,∠ABC = 75°, ∠BCA=45°,如果P為 上的點使得,則∠APB 的度數為下列何者? (A) 60° (B) 75° (C) 90° (D) 120°
20. △ABC中,如果∠C = 30°, =4,則∠B的度數為下列何者? (A) 45° (B) 60° (C) 75° (D) 105°
21. 已知一長方體的體積為8立方公分,其表面積(即六個面的面積和)為32平方公分,如果此長方體的長、寬及高成等比數列,則此長方體最大的邊長為下列何者? (A) (B) 2 (C) 3 (D)
22. 已知三角形ABC 之三邊長分別為= c,且其外接圓半徑為R,若,則下列何者錯誤? (A) ∠A = 45° (B) ∠B = 45° (C) b=c (D) a = 2R
23. 如果實數a, b為一元二次方程式x²-3x+1=0的二個解,且a>b,則之值為下列何者? (A) (B) (C) (D)
25. 已知a, b皆為實數,如果極限值,則a+b之值為下列何者? (A) (B) (C) (D)
26. 已知有一組數據資料:2,4,6, a, 7,9的算術平均數為b,其中a為正整數且b>0。如果 a,b為一元二次方程式 (x-3)²=x-1的二個解,則此組數據的中位數是下列何者? (A) 5 (B) (C) 6 (D)
27. 設n為整數,如果 為整數,則滿足這樣條件的n值共有少個? (A) 4 (B) 5 (C) 6 (D) 7
28. 下列敘述何者正確? (A) 無窮級數是收斂 (B) 如果無窮級數為收斂級數,則 (C) 如果無窮級數為發散級數,則必為發散級數(D) 是收斂且和為2
29. 已知a, b皆為實數,如果函數 在x=1處為可微(differentiable),則a-b之值為下列何者? (A) -1 (B) 0 (C) 1 (D) 2