阿摩線上測驗
登入
首頁
>
技檢◆工業配線-乙級
> 114年 - 01300 工業配線 乙級 工作項目 02:低壓配電盤及控制盤 51-100(2025/10/09 更新)#132022
114年 - 01300 工業配線 乙級 工作項目 02:低壓配電盤及控制盤 51-100(2025/10/09 更新)#132022
科目:
技檢◆工業配線-乙級 |
年份:
114年 |
選擇題數:
50 |
申論題數:
0
試卷資訊
所屬科目:
技檢◆工業配線-乙級
選擇題 (50)
51. 變壓器三相連接中之 Y-Y 接線,線電壓為相電壓之 (A)
/2 倍 (B)2/
倍 (C)
倍 (D)1/
倍 。
52. 供電電壓比額定電壓降低 5%時,三相感應電動機之最大轉矩約降低多少(%)? (A)5 (B)10 (C)15 (D)20 。
53. 積熱電驛原理是利用金屬之 (A)重量不同 (B)面積不同 (C)膨脹係數不同(D)加熱時間不同 。
54. 低壓用戶之一台三相 220V 電動機,如容量超過 15HP 時,則其啟動電流應限制於不超過額定全載電流之 (A)2 倍 (B)3.5 倍 (C)6 倍 (D)不加限制 。
55. 測試變壓器絕緣電阻之儀器為 (A)三用電表 (B)接地電阻測試器 (C)三用鉤表 (D)高阻計 。
56. 在控制電路電源端所安裝之保險裝置,其功用為 (A)控制電路及元件短路時熔斷 (B)主電路過載時熔斷 (C)主電路欠相時熔斷 (D)無功用 。
57. 三相鼠籠型感應電動機起動轉矩最大者為 (A)一次電阻起動 (B)一次電抗起動 (C)直接起動 (D)Y-Δ起動 。
58. 三相感應電動機運轉中,若電源欠一相時,電動機之情況 (A)立即停止(B)繼續原速運轉 (C)速度變慢發生噪音 (D)負載電流減少 。
59. 無熔線開關跳脫後,如要再恢復送電時其程序 (A)把開關把手向上扳到頂 (B)把開關把手向下扳到底 (C)把開關把手先向下扳到底,再向上扳到頂 (D)把開關換新 。
60. 三相四極之鼠籠型感應電動機,通常其啟動電流約為全載電流之 (A)1.5~2 倍 (B)3~4 倍 (C)5~6 倍 (D)8~10 倍 。
61. 電動機在兩處以上控制時其 ON、OFF 之按鈕開關接法為 (A)全部並聯(B)全部串聯 (C)ON 用串聯,OFF 用並聯 (D)ON 用並聯,OFF 用串聯 。
62. 無熔線開關啟斷容量之選定,是依 (A)線路之短路電流 (B)功率因數 (C)電壓降 (D)閃爍電壓 。
63. 分相式電動機其運轉繞組與起動繞阻間之理想相角為_____ 電工度。(A)90 (B)120 (C)180(D)30
64. PVC 電線之安全電流,係以導線最高運轉溫度不超過 60℃及周圍溫度______為計算基準者。(A)20℃ (B)25℃ (C)35℃ (D)40℃
65. 將Y-△啟動器使用於三相感應電動機之目的為 (A)使啟動轉矩增大 (B)縮短啟動時間 (C)減少啟動電流 (D)於啟動之際有大電流 。
66. 600V 以上電容器,切斷電源後最少應等待多少分鐘後始可觸碰? (A)1分鐘 (B)3 分鐘 (C)5 分鐘 (D)10 分鐘 。
67. 三相感應電動機其三相之繞組引出六個接頭,其使用電壓應有多少種?(A)1 種 (B)2 種 (C)3 種 (D)4 種 。
68. 要使三相感應電動機之轉向變換,只須對調三相電源之二相即可,其理由為 (A)定子繞組之電刷已反相 (B)旋轉磁場之轉向改變 (C)功率因數改變(D)各相繞組之電壓降低 。
69. 採用Y-△啟動器啟動時,其啟動電流為全壓啟動之 (A)1/3 (B)1/4 (C)1/5(D)1/6 。
70. 使用兩功率計法測定平衡三相負載之功率時,若其中一功率計之讀數為零,則該三相負載之功率因數為 (A)1 (B)0.866 (C)0.5 (D)0 。
71. 如下圖所示之電橋,其保持平衡(即 G 無電流流通)之條件為
(A)R
1
R
4
=R
2
R
3
(B)R
1
+R
3
=R
2
+R
4
(C)R
1
/R
2
=R
4
/R
3
(D)R
1
R
2
=R
3
R
4
。
72. MCCB AF 與 AT 之關係為 (A)AF≧AT (B)AF>AT (C)AF<AT (D)AF≦AT 。
73. 使電線之長度增為 n 倍,其截面積減為 1/n 倍時,則電線電阻為原來之(A)n
2
倍 (B)n 倍 (C)1/n 倍 (D)1 倍 。
74. 如下圖所示,RLC 串聯如(a)圖時有 10A 電流,若並聯如(b)圖而接於同一電源,則電流 I 為
(A)10A (B)20A (C)30A (D)0A 。
75. 引起電燈閃爍較大之負載機器為 (A)電動機 (B)電熱器 (C)閃絡電驛 (D)電弧爐 。
76. 某工廠有低壓電動機五台,最大一台之全載電流為 40A,其餘 4 台之全載電流合計為 60A,選擇幹線之安全電流量應為 (A)90A (B)100A (C)110A (D)120A 。
77. 如下圖所示之電路,ac 間之電容量(uF)為
(A)2/3 (B)3/2 (C)4/3 (D)3 。
78. 比壓器(PT)之階級(如 0.5 級 1.0 級等),係表示 (A)絕緣階級 (B)精確度(C)容量 (D)品質 。
79. 變壓器之電壓調整率為 (A)無載電壓與滿載電壓之差與滿載電壓之比 (B)無載電壓與滿載電壓之差與無載電壓之比 (C)無載電壓與滿載電壓之比(D)無載電壓與磁飽和電壓之比 。
80. 正反器元件符號中所標註的 CLK 端為 (A)訊號輸出端 (B)歸零訊號端 (C)觸發訊號端 (D)訊號輸入端 。
81. 下列何者不影響電磁接觸器接點之壽命? (A)啟斷電流 (B)閉路電流 (C)開閉頻繁度 (D)大氣壓力 。
82. 三相三線制配合二只比流器使用之電流切換開關若規定 A1 為被接地點,接線時錯將 A2 接地,其指示之變化如何? (A)R、T 相對調 (B)OFF與 S 相對調 (C)R、T 相與 OFF、S 相均對調 (D)完全正常 。
83. 三相 220V,4 極 15HP 之感應電動機宜採用下列何種型式之電磁開關最為經濟? (A)35A (B)50A (C)65A (D)80A 。
84. 一電動機(視作 RL 串聯電路)若並聯一只可變電容 C,則 C 自零逐漸加大時,全電路之功率因數變化為 (A)逐漸提高 (B)逐漸降低 (C)先提高後再降低 (D)不變化 。
85. 有一三相變壓器其一次側 Y 接線電壓為 380V,二次側Δ接線,一次側比二次側匝數比為 2:1,則二次側相電壓為 (A)110V (B)190V (C)220V (D)380V 。
86. 依據屋內線路裝置規則規定,比壓器及比流器之二次側接地應屬於 (A)特種地線工程 (B)第一種地線工程 (C)第二種地線工程 (D)第三種地線工程 。
87. 如下圖所示,在 ab 間加以交流正弦波電壓,則 cd 間出現之電壓波形為
(A)
(B)
(C)
(D)
。
88. 1.6mm 銅線之電阻值為 3.6Ω,同一長度 3.2mm 之電阻值為 (A)0.9Ω (B)1.8Ω (C)5.4Ω (D)(4)7.2Ω 。
89. PT 超過負擔時,PT 二次測 (A)電壓上升 (B)電壓下降 (C)電流下降 (D)電流不變 。
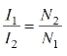
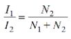
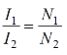
90. 變壓器之一次電流為 I
1
,一次線圈匝數為 N
1
,變壓器二次電流為 I
2
,二次線圈匝數為N
2
,下列何者正確? (A)
(B)
(C)
(D)
。
91. 三相感應電動機作 Y 型接線時線電壓為 220V,則其相電壓為 (A)127V(B)190V (C)220V (D)380V 。
92. KWH 上註明 KWH/2400Rev,如 1 分鐘轉 80 次之負載為 (A)2KW (B)3KW (C)4KW (D)5KW 。
93. 加裝電容器改善功率因數時,可改善下列何者之功因? (A)安裝點之負載側 (B)安裝點之電源側 (C)安裝點附近 (D)安裝點之電源側及負載側 。
94. 口對口人工呼吸每分鐘施行速度約 (A)5~8 次 (B)16~18 次 (C)20~30 次 (D)30~35 次 。
95. 若將直流分激電動機之激磁電流減少,電動機轉速將 (A)增加 (B)減少 (C)不變 (D)停止不動 。
96. 電動機在可逆轉場合,往往在正逆轉電磁開關控制電路上,加裝延遲電路以使切換時間延長,其主要目的為 (A)使電動機完全停止後再啟動 (B)減少啟動電流 (C)防止電動機燒燬 (D)防止電路因電弧而造成短路 。
97. 三相電動機定子繞組有 6 組,共 12 個引出線,每組定子繞組額定電壓相同,則此電動機繞組接法有 (A)4 種 (B)3 種 (C)2 種 (D)1 種 。
98. 三相變壓器之接法為抑制諧波,不宜接成 (A)Δ-Δ (B)Δ-Y (C)Y-Δ (D)Y-Y 。
99. 開關開閉之速度應 (A)快、慢適中 (B)開快、閉慢 (C)開閉均越快越好 (D)開閉越慢越好 。
100. 如下圖所示,電阻 R 之主要目的為
(A)增加直流電磁線圈之始動電流 (B)使動作後能自保 (C)動作後,使直流電磁線圈電流降低 (D)增加直流電磁線圈吸力 。
申論題 (0)
相關試卷
114年 - 01300 工業配線 乙級 工作項目 05:檢查及故障排除檢修 51-107(2025/10/09 更新)#132030
114年 · #132030
114年 - 01300 工業配線 乙級 工作項目 05:檢查及故障排除檢修 1-50(2025/10/09 更新)#132029
114年 · #132029
114年 - 01300 工業配線 乙級 工作項目 03:可程式控制器(PLC)之應用 51-120(2025/10/09 更新)#132025
114年 · #132025
114年 - 01300 工業配線 乙級 工作項目 03:可程式控制器(PLC)之應用 1-50(2025/10/09 更新)#132024
114年 · #132024
114年 - 01300 工業配線 乙級 工作項目 02:低壓配電盤及控制盤 101-150(2025/10/09 更新)#132023
114年 · #132023
114年 - 01300 工業配線 乙級 工作項目 02:低壓配電盤及控制盤 1-50(2025/10/09 更新)#132021
114年 · #132021
114年 - 01300 工業配線 乙級 工作項目 01:識圖與繪圖 51-93(2025/10/09 更新)#132020
114年 · #132020
114年 - 01300 工業配線 乙級 工作項目 01:識圖與繪圖 1-50(2025/10/09 更新)#132019
114年 · #132019
113年 - 113-3 全國技術士技能檢定學科_乙級:01300工業配線#123626
113年 · #123626
112年 - 112-3 全國技術士技能檢定學科_乙級:01300工業配線#123435
112年 · #123435