所屬科目:教甄◆數學
1. 已知a為正無理數,a³-4a²-6a +4 與 a²-3a+1皆為有理數,則a=_____
2. 有一圓內接四邊形ABCD,,若,則數對(x,y)=_____
3. 已知四次整係數多項式f(x)滿足首項係數為1且f(2-√3)=f(1+√5)=7,則 f(x)除以x²-6的餘式為_____
4. 求 =_____
5. 有一長方形 ABCD,,如圖(一),將長方形沿對角線折起,使得∆ABD 與ABCD夾60°,則cos(∠ADC) =_____
6. 已知有一袋子裝有「兩顆紅球、三顆黑球、四顆白球」,今從袋中取球並記錄顏色。假設每顆球被取到的機會相同,且每次只取一球,取後不放回,直到紅球全數取出為止,則在紅球沒有被連續取出的條件下,紅球是三種顏色中最後被取完的機率為_____
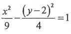
7. 雙曲線 有一弦以 (-5,4) 為中點,則此弦的方程式為_____
8. 已知複數 z 滿足 |z| = 1, 則 |z-6|² + |z+2i|² 之最小值為_____
9. 設實係數多項式函數 f(x) = x⁴ + ax² + bx 與 g(x) = cx + (a-3) 的圖形相切於兩相異點,則實數 a =_____
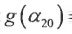
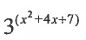
10. 已知方程式 = 81 * log₃(x²+4x+7) 恰有兩實根 α、β, 則 α+β 之值為_____
11. 有一「八面體」,其展開圖如圖(二),由四個正三角形及四個正六邊形組成。已知各邊邊長為 2 單位長,則此八面體的體積為_____
12. 設 f(x) = + 3, g(x) = x³ - 3x² + 4x - 2, f(x) = 0 的二十個複數根為 α₁, α₂,…, , 則 g(α₁) * g(α₂) * … * =_____
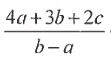
13. 若 a < b, 已知對任意實數 x, ax² + bx + c ≥ 0 恆成立,且 m < 恆成立,則實數 m 之範圍為_____
14. 已知數列 <an> 滿足前 n 項和 = n2 + 4n + 3。以符號 表示前 n 項的算數平均數、 表示前 n 項的標準差,試求:之值_____。
15. 設等差數列的前 n 項和為,等差數列的前 n 項和為。對任意正整數 n, 恆成立,則 =_____ (Σ 符號表示從 k=1 到 n 的總和)
16. 在邊長為 r 的正方形 ABCD 之內部任取一點 P,則≥ 0 的機率為_____
1. 試證:橢圓 = 1 的面積為 πab,其中 a > 0, b > 0。
2. 已知實數 x 滿足 [x2] - [x]2 = - x,其中 [x] 表示不大於 x 的最大整數,試求:x 的所有解。
3. 單位圓上有三點 A、B、C, = 8,證明:△ABC 為直角三角形。