所屬科目:教甄◆數學
1. 已知 x10 除以(x +1)3的餘式為 R(x) ,求R(x) 除以 x −1 的餘式為__________ 。
2. 已知方程式logxlogx+logx3−5=0 的兩根為 α,β ,求 αβ之值為_________ 。
3. 已知 a 為正實數,若函數 f(x)=|x-a|+| x +1|的圖形與y = 所圍的圖形面積為 2,求 a 之值為________ 。
4. 設,若函數 f(x)=|3sin x+ 4cosx|在x=k時有最大值,求 sink-cosk為_________ 。
5. 若三角形 ABC 的三個高分別為 ,求三角形 ABC 的周長為_________ 。
6. 已知 a,b為實數,若函數 f(x)=2ax3-3ax2+b在 0≤x≤2時有最大值 7,最小值−3,求數對 (a,b ) 為_______。
7. 在空間中,正四面體 ABCD 的稜長為 1,若的中點分別為 E, F,且 G 為 △AEF 重心,求長度為_______ 。
8. 已知一個底面半徑為 3,高也為 3 的直圓柱,平面 E 通過底面的直徑 ,且平面 E 與底面的夾角為 45° ,此時平面 E 將直圓柱切割成兩部分,求較小那部分的 體積為_______。
9. 已知坐標平面上有一正方形 ABCD,若點 E F G H (6,0), (6,6), (0,8), ( 5,4) − 分別在上,求正方形 ABCD 的面積為_________ 。
10.已知從 n 階方陣中隨機取一元素,設隨機變數 X 表示取中的元素數值。若隨機變數 X 的變異數為 1.84,求 n 為_______。
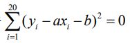
11.某實驗測得 20 組樣本點(x1 ,y1),(x2 ,y2),...,(x20 ,y20),已知, 利用最小平方法求得 y對x的迴歸直線方程式為 y=ax+b 。若 且(x1 ,y1)= (30,40),設 x'=2x-4,y'=-3y+5,i=1,2,...,20,求數據 (xi ',yi') 的迴歸直線方程式為________ 。
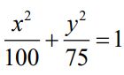
12.已知橢圓的中心為 O,且焦弦與長軸夾角為 60° ,求△OPQ 面積為_______。
13.已知梯形 ABCD 中,=5 。若 P 為 上任一點,作於 N,求△APM 與 △BPN 的面 積和最小值為__________ 。
14.已知空間中兩直線,其中 k 值是從 集合 {1,2,3,4} 中隨機任取一數,試問在直線 L1 與 L2不重合的條件下,直線 L1 與 L2 為相交直線的機率為________。
15.已知擲一公正骰子 4 次的點數分別為 a, b, c, d,求滿足| (a-b)(b-c)|+(c-d)2=1的機率為__________ 。
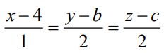
16.已知空間中,點 O (a ,6,3) 與直線 L:皆在平面 E:2x+y-2z=8上,且點 O 與直線 L 的距離為 6,求序對 (a,b,c)為____________ 。
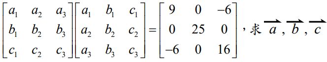
17.已知空間坐標系有三個非零向量 , 若所決定的四面體體積為______________ 。
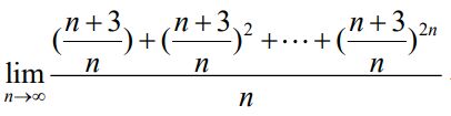
18.求之值為____________ 。
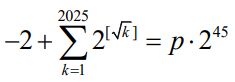
19.已知高斯符號 [x] 表示不大於實數 x 的最大整數,若 ,求實數 p 為_________ 。
20.已知 k 為整數且方程式x2-(k-2)x+(k2+3k+5)=0有兩個相異整數根,求 k 值為_______。