所屬科目:教甄◆數學
1. 求43100-432 除以 433-432+43的餘數為__________ 。
2. △ABC 中,∠BAC=30° , =10, =6 ,若 D 、E 分別為上的動點。當有最小值時,求此時的長度比=__________ 。
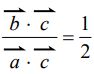
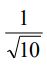
3. 平面上有三個向量,滿足且,已知的正射影長度為 ,求的正射影長度為___________ 。
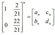
4. 若 ,n∈N ,則當 n 的取值最少為__________時, cn 開始會大於 dn 。 ( log 2≈ 0.301,log3≈0.4771,log7≈ 0.8451,log11≈1.0414 )
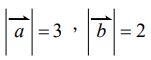
5. △ABC 中,已知=0且cosC= ,求 tan A: tan B: tanC =___________ 。
6. xy 平面上的動點 P(a , b),b> a >1 ,若 c 為不等於 1 的正實數,滿足2(logac+logbc ) =9log abc,求的最小值為___________ 。
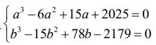
7. 設實係數多項式 y = f (x) 滿足f(x)=,且 f (s)= 8 , f (k)= 2,求 s+ k =__________ 。
8. 下圖為正三角形所構成之圖形,試求以這些線段共可以決定__________個平行四邊形。
9. 投擲一個特殊骰子(共六個面,每面出現機率均等),其中六個面點數分別為 1、1、2、2、3、3,試求連續投擲 9 次,其點數的算術平均數之小數點後第一位數字為 1 的機率為____________ 。
10. 在複數平面上,若已知|z|=1 ,試求|z2+ z-6|的最大值為___________ 。
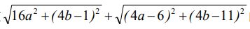
11. 若實數 a、b 滿足,試求 a+b的值為____________ 。
12. 已知數〈an〉 其前 n 項和 Sn=2an-3✖2n+4 (n 為正整數),試求an 的一般項為___________ 。
13. 試求的所有實數解為_____________ 。
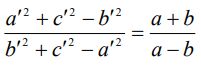
二、非選擇題與證明題(計 3 題,共 22 分):1. 已知 △ABC 中, ∠A、∠B、∠C 的對邊為 a 、b、c ( a ≠ b ),且 ∠A= α ,∠B= α-2β ;有另一個 △A'B'C' ,∠A' 、 ∠B'、∠C'的對邊為 a ' 、b'、c' ,且∠A'=α-β ,∠B'=β ,其中0°< 2β<a<180° 試證明:(證明題,8 分。請勿將α,β 以帶入特別角的方式進行驗證)
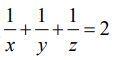
2. 已知 x>1,y>1,z>1 且,試證 (證明題,8 分。)
3. 坐標空間中,考慮三個平面E1:x+y+z=7 、 E2= x-y+z=3 、E3:x-y-z=-5 ,若坐標空間中第四個平面 E4 與 E1、 E2 、E3圍出一個邊長為的正四面體,試求出 E4 的方程式(寫成 x+ay+bz=c 的形式)上述為 113 學年度分科測驗數學甲試題,請使用三種方法解答此題,書寫時請詳列計算過程。 (非選擇題,6 分。使用三種以上方法得 6 分,使用二種方法得 3 分,只使用一種方法或未作答不予計分)