所屬科目:高中(學測,指考)◆數學
1. 設 ,則a在那兩個連續整數之間? (A)0與1 (B)1與2 (C)2與3 (D)3與4 (E)4與5
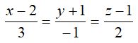
2. 設直線L的方程式為 ,則下列那一個平面與L平行。 (A)2x-y+z=1 (B)x+y-z=2 (C)3x-y+2z=1 (D)3x+2y+z=2 (E)x-3y+z=1
3. 同時擲兩枚均勻的硬幣,連續擲兩次,問至少有一次出現一正面一反面的機率為多少? (A)0 (B) (C) (D) (E)1
4. 設圖1中,A、B、C三點共線,D、E、F三點共線。利用這六點的3個點作頂點所形成的三角形共有多少個? (A)9 (B)14 (C)16 (D)18 (E)20
5. 甲、乙、丙三位同學參加推薦甄選學科能力測驗,五科的成績如表一所示。設S甲、S乙、S丙分別代表甲、乙、丙三位同學五科成績的標準差。請仔細觀察表中數據,判斷下列那一選項表示S甲、S乙、S丙 的大小關係? (A)S甲>S乙>S丙 (B)S丙>S甲=S乙(C)S甲>S丙=S乙 (D)S乙>S甲=S丙(E)S甲=S乙>S丙
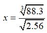
6. 若 則下列那一個敘述是正確的?(可用查表法) (A)2.8<x<2.9 (B)2.7<x<2.8 (C)2.6<x<2.7 (D)2.5<x<2.6 (E)2.4<x<2.5
7. 武林高手上官琴魔,幸獲至寶「斷腸一弦琴」。如圖2實線部分,琴身為一圓弧,琴弦長為1.6尺。今欲增其威力,需加一長為1.2尺的平行琴弦,乃在P及Q點鑽孔,加裝琴弦 。若知圓心在O點,半徑為1尺,敢問少(女)俠∠AOP 大小若干? (A)13°<∠AOP ≤14° (B)14°<∠AOP ≤15° (C)15°<∠AOP ≤16° (D)16°<∠AOP ≤17° (E)17°<∠AOP ≤18°
多選題8. 若函數f(x)=ax2+bx+c 的圖形如圖3,則下列各數那些為負數? (A)a (B)b (C)c (D)b2-4ac (E)a-b+c
10. 下列那些方程式的部分圖形「不可能」出現在圖4中? (A) (B)y=log2X (C)y=cotx (D)5x2+4x-6y-3=0 (E)x2-y2+4x-6y-10=0
12. 一皮球自離地面10公尺高處落下。首次反彈高度為 公尺,此後每次反彈高度為其前次反彈高度的 ,則此球到完全靜止前,所經過路徑的總長度為 公尺。
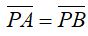
14. 已知A(1,2) 與B(3,4) 為兩定點,P(x,y) 為直線x+2y=3 上一點。問 時,P的坐標為 。
19. 若且sinθ+cosθ= ,則cosθ= 。